New aspects of investigating stress, anxiety, and depression in the Ryazan region population with arterial hypertension
- Authors: Glenza A.1, Dobrynina N.V.1, Yakushin S.S.1, Dzekan A.A.1
-
Affiliations:
- Pavlov Ryazan State Medical University
- Issue: Vol 15, No 4 (2024)
- Pages: 268-277
- Section: Original study articles
- Submitted: 01.04.2024
- Accepted: 11.11.2024
- Published: 25.12.2024
- URL: https://cardiosomatics.ru/2221-7185/article/view/629819
- DOI: https://doi.org/10.17816/CS629819
- ID: 629819
Cite item
Full Text
Abstract
BACKGROUND: Arterial hypertension is often accompanied by stress, anxiety, and depression that worsen the quality of life and prognosis of the disease. Global data on high anxiety and depression highlight the need to assess them in people with hypertension. This study in the Ryazan region will reveal the social and economic impact on the mental health of hypertensive patients.
AIM: To assess the prevalence of stress, anxiety, and depression among hypertensive patients in the Ryazan Region, as well as their relationship with social and economic factors.
MATERIALS AND METHODS: This retrospective, observational study included 453 patients (284 women [62.7%] and 169 men [37.3%]) with confirmed arterial hypertension. Questionnaire survey included social and demographic characteristics and economic conditions. To measure stress effects, the Perceived Stress Scale (PSS-10) was used. The Hospital Anxiety and Depression Scale (HADS) was used to evaluate anxiety and depression.
RESULTS: Levels of stress, anxiety, and depression are higher in women compared to men (15.5 (11–20), 6 (4–9), and 5 (3–8) vs. 13 (9–17), 4 (2–7), and 4 (2–7), respectively; р <0.001, р <0.001, and р=0.002). Lonely people have higher levels of stress 16 (12–20), anxiety 6 (4–9), and depression 6 (3–9) compared to those living with their families (р=0.004, р=0.026, and р <0.001, respectively). Levels of stress, anxiety, and depression are statistically higher in people without high school or higher education than in those with such education. Levels of stress did not depend on employment compared to anxiety (5 (3–8) in employed and 6 (4–9,75) in unemployed people; р <0.001) and depression (5 (2–7) and 6 (3–9) respectively; р=0.001), which were higher in unemployed people.
CONCLUSION: Female gender, marital status, and low education are the factors contributing to increased stress, anxiety, and depression in patients with hypertension in the Ryazan region.
Keywords
Full Text
Введение
Артериальная гипертензия (АГ) широко распространена в России: по данным ЭССЕ-РФ2, 49,1% мужчин и 39,9% женщин страдают этим заболеванием. При этом лишь 42,9% мужчин и 53,7% женщин достигают целевых значений артериального давления (АД), несмотря на установленный диагноз гипертонической болезни (ГБ) и назначенную терапию [1]. В Рязанском регионе стандартизированная по возрасту и полу распространённость АГ, по данным ЭССЕ-РФ2, была самой высокой среди 4 регионов РФ и составила 50,2% [2].
АГ нередко сопровождается психологическими проявлениями, которые способны существенно влиять на качество жизни пациентов и ухудшать прогноз [3]. Известно, что стресс может приводить к увеличению АД, риску развития ГБ и запускать развитие сердечно-сосудистых заболеваний [4]. В рамках исследования «MONICA — PSYCHOSOCIAL» в Новосибирске было обнаружено, что наибольшая вероятность развития АГ за 10 лет наблюдалась у мужчин в связи со стрессом в семейной среде [5].
Следует также обратить внимание на смежные со стрессом аспекты психического здоровья, такие как тревога и депрессия. Так, по данным Всемирной организации здравоохранения (ВОЗ), у более чем 301 млн человек в мире отмечаются тревожные и у 280 млн — депрессивные расстройства [6], а согласно данным ЭССЕ-РФ3, в популяции населения 15 регионов РФ средняя общая распространённость тревоги и депрессии составляет 26,1 и 20,4% соответственно [7]. При этом, по данным ЭССЕ-РФ, отмечаются значительные региональные различия изучаемых характеристик: так, самые низкие уровни тревоги/депрессии обнаружены среди жителей Тюмени, в то время как самые высокие — в Республике Северная Осетия — Алания [8]. Вместе с тем в этом крупном эпидемиологическом исследовании оценка распространённости данных психических нарушений в отдельной когорте больных АГ не проводилась.
Таким образом, вышеприведённые данные обусловили необходимость изучения психических нарушений при АГ в Рязанской области (РО).
Цель исследования — оценить распространённость стресса, тревоги и депрессии среди лиц, страдающих ГБ, в Рязанской области, а также их взаимосвязь с различными социально-экономическими факторами.
Материалы и методы
Дизайн исследования
Наша работа основана на материалах многоцентрового наблюдательного исследования ЭССЕ-РФ2 («Эпидемиология сердечно-сосудистых заболеваний в различных регионах Российской Федерации 2») по данным РО. Использовалась систематическая стратифицированная многоступенчатая случайная выборка, сформированная по территориальному принципу на базе 4 лечебно-профилактических учреждений (ЛПУ) по методу Киша. Из всех обследованных в ЭССЕ-РФ2 (РО) в возрасте от 25 до 64 лет (1632 человека) выделены 453 пациента (284 женщины (62,7%) и 169 мужчин (37,3%)) с подтверждённым диагнозом ГБ, принимающих по меньшей мере один антигипертензивный препарат. Медиана возраста выбранных больных составила 52,0 года (Q1–Q3: 44,0–58,0).
Критерии соответствия
Критериями включения в данное исследование были: возраст от 25 до 65 лет и подтверждённый диагноз ГБ при условии приёма по меньшей мере одного антигипертензивного препарата, подписание добровольного информированного согласия на участие в исследовании. Критерий исключения: наличие повышенного артериального давления без подтверждённого диагноза гипертонической болезни.
Условия исследования
В каждом ЛПУ случайным образом отбираются 4 врачебных участка. В каждом врачебном участке случайным образом отбираются 50 квартир/домохозяйств, из которых приглашается на обследование один человек в возрасте 25–64 лет, постоянно проживающий по данному адресу.
Продолжительность исследования
В период с 1 февраля по 19 октября 2017 года в исследование были включены 1632 человека, проживающих в Рязанской области. Из них в дальнейшем были отобраны 453 пациента с артериальной гипертензией (284 женщины — 62,7% и 169 мужчин — 37,3%), принимающих по меньшей мере один антигипертензивный препарат.
Методология исследования
Всем пациентам проводилось анкетирование согласно протоколу исследования ЭССЕ-РФ 2, в котором собиралась информация о социально-демографических характеристиках (пол, возраст, образование, семейное положение, наличие работы), вредных привычках и экономических условиях жизни (финансовое положение).
Для измерения степени восприятия стресса использовалась шкала воспринимаемого стресса (Perceived Stress Scale), состоящая из 10 вопросов, направленных на оценку того, насколько интенсивным был стресс в течение предыдущего месяца в жизни опрашиваемых [9].
Для оценки уровня тревоги и депрессии использовалась госпитальная шкала HADS (Hospital Anxiety and Depression Scale) [10, 11]. Уровень тревоги и депрессии определялся по сумме баллов, полученных в ответах на вопросы: норма (от 0 до 7 баллов), субклинически выраженная тревога/депрессия (от 8 до 10 баллов), клинически выраженная тревога/депрессия (≥11 баллов).
Основной исход исследования
Основными анализируемыми показателями в данной работе были уровни стресса, тревоги и депрессии у пациентов с гипертонической болезнью. При этом нормой считались значения от 0 до 7 баллов, субклинически выраженной тревогой/депрессией — от 8 до 10 баллов, а клинически выраженной тревогой/депрессией — от 11 баллов и выше.
Этическая экспертиза
Все участники исследования ознакомлены с целями и основными положениями исследования и подписали письменно оформленное согласие на участие. Исследование было одобрено Этическим комитетом Рязанского государственного медицинского университета им. академика И.П. Павлова (протокол № 1 от 12.09.2022).
Статистическая обработка
Статистический анализ проводился с использованием программы StatTech v. 4.0.6 (разработчик — ООО «Статтех», Россия). Количественные показатели проверялись на соответствие нормальному распределению с применением теста Колмогорова–Смирнова. Если количественные данные имели нормальное распределение, то они описывались средними арифметическими значениями (M) и стандартными отклонениями (SD) с указанием границ 95% доверительного интервала (95% ДИ). При отклонении от нормального распределения данные описывались медианой (Me) и интерквартильным размахом (Q1–Q3). Сравнение двух групп по количественным показателям, не соответствующим нормальному распределению, выполнялось с использованием критерия Манна–Уитни. Сравнение трёх или более групп по таким показателям проводилось с применением критерия Краскела–Уоллиса, с последующим анализом методом Данна с поправкой Холма. Силу и направление корреляционной связи между двумя количественными показателями оценивали с помощью коэффициента ранговой корреляции Спирмена. Прогностическая модель, отображающая зависимость количественной переменной от факторов, разрабатывалась с использованием метода линейной регрессии. Статистическая значимость различий учитывалась при p <0,05.
Результаты
Участники исследования
В исследование были включены 453 пациента с артериальной гипертензией, среди которых было 284 (62,7%) женщины и 169 (37,3%) мужчин. Медиана возраста составила 52,0 года (Q1–Q3: 44,0–58,0). Медианы уровней стресса, тревоги и депрессии представлены в табл. 1.
Таблица 1. Медиана стресса, тревоги и депрессии в общей группе обследованных, n=453
Table 1. Median levels of stress, anxiety and depression in the overall examined group (n=453)
Показатели | Me (Q1–Q3) | Мин. | Макс. |
Возраст, лет | 52,0 (44,0–58,0) | 24,0 | 64,0 |
Стресс, баллы | 15,0 (10,0–19,0) | 0,0 | 38,0 |
Тревога, баллы | 6,0 (3,0–8,0) | 0,0 | 21,0 |
Депрессия, баллы | 5,0 (2,0–8,0) | 0,0 | 20,0 |
В семье проживали 274 пациента, тогда как 179 пациентов жили одни. Высшее образование имели 161 пациент, среднее — 266 пациентов, и 25 пациентов имели образование ниже среднего. Из всех пациентов 323 человека работали, а 130 — не работали или были на пенсии. Не курили 359 пациентов, тогда как 94 пациента были курильщиками. Средний уровень материального достатка отметили 347 пациентов, выше среднего — 36 пациентов и ниже среднего — 70 пациентов.
Основные результаты
В результате проведённой работы установлено, что у больных с АГ медиана уровня стресса составила 15,0 балла (Q1–Q3: 10,0–19,00). Медиана уровня тревоги составила 6,0 балла (Q1–Q3: 3,0–8,0), что также соответствует нормальным показателям. Однако у 32,2% обследованных (n=146) отмечались высокие уровни тревоги (>7 баллов), а чуть меньше половины из них (42,5%, n=62) продемонстрировали клинический уровень тревоги (≥11 балла) (см. табл. 1). Аналогичная картина наблюдалась при изучении уровня депрессии, где медиана 5,0 балла (Q1–Q3: 2,0–8,0) соответствовала нормальным значениям. Но при этом повышенный уровень депрессии имели 26,3% участников (n=119), из которых 36,9% (n=44) достигли клинического уровня депрессии (см. табл. 1).
Если между стрессом, тревогой и возрастом у больных с АГ не было обнаружено взаимосвязи, то между возрастом и уровнем депрессии выявлялась слабая, но статистически значимая прямая связь: при увеличении возраста на 1 год следует ожидать увеличения уровня депрессии на 0,041. Зависимость представлена уравнением парной линейной регрессии: y (депрессия) = 0,041 × x (возраст) + 3,294.
В ходе оценки уровней стресса, тревоги и депрессии в зависимости от пола были выявлены статистически значимые различия (табл. 2): у женщин отмечаются более высокие уровни стресса, тревоги и депрессии по сравнению с мужчинами.
Таблица 2. Влияние пола на уровень стресса, тревоги и депрессии
Table 2. The effect of gender on stress, anxiety and depression levels
Показатель | Категории | Me | Q1–Q3 | n | p |
Стресс, баллы | ж | 15,5 | 11,0–20,0 | 284 | <0,001 |
м | 13,0 | 9,0–17,0 | 169 | ||
Тревога, баллы | ж | 6,0 | 4,0–9,0 | 284 | <0,001 |
м | 4,0 | 2,0–7,0 | 169 | ||
Депрессия, баллы | ж | 5,0 | 3,0–8,0 | 284 | <0,002 |
м | 4,0 | 2,0–7,0 | 169 |
У одиноких людей установлены статистически значимо более высокие уровни стресса (Me: 16,0), тревоги (Me: 6,0) и депрессии (Me: 6,0) по сравнению с теми, кто проживает в семье, где медиана составила 14,0, 5,0 и 4,0 балла соответственно (рис. 1).
Рис. 1. Уровни стресса, тревоги и депрессии в зависимости от семейного положения.
Fig. 1. Levels of stress, anxiety, and depression based on marital status.
При оценке уровня стресса у пациентов с ГБ в зависимости от уровня образования отмечено, что при отсутствии среднего или высшего образования уровень стресса оказывался статистически значимо выше, чем при наличии такового. Аналогичные тенденции были выявлены при анализе уровней тревоги и депрессии, где пациенты без среднего или высшего образования имели статистически значимо более высокие показатели (табл. 3).
Таблица 3. Уровни стресса, тревоги и депрессии в зависимости от образования
Table 3. Levels of stress, anxiety, and depression based on education
Показатель | Категории образования | Me | Q1–Q3 | n |
Стресс, баллы | Ниже среднего | 18,0 | 14,0–22,0 | 25 |
Среднее | 14,5 | 10,0–19,0 | 266 | |
Высшее | 14,0 | 9,0–18,0 | 161 | |
Тревога, баллы | Ниже среднего | 8,0 | 7,0–11,0 | 25 |
Среднее | 6,0 | 3,0–8,0 | 266 | |
Высшее | 5,0 | 3,0–8,0 | 161 | |
Депрессия, баллы | Ниже среднего | 6,0 | 4,0–9,0 | 25 |
Среднее | 5,0 | 3,0–8,0 | 266 | |
Высшее | 4,0 | 2,0–7,0 | 161 |
Примечание. Стресс: pсреднее – ниже среднего = 0,034, pвысшее – ниже среднего = 0,009; тревога: pсреднее – ниже среднего = 0,002, pвысшее – ниже среднего <0,001; депрессия: pвысшее – ниже среднего = 0,031, pвысшее – среднее = 0,047.
Note. Stress: рsecondary education – below secondary education = 0.034, phigher education – below secondary education = 0.009; anxiety: psecondary education – below secondary education = 0.002, phigher education – below secondary education <0.001; depression: phigher education – below secondary education = 0.031, phigher education – secondary education = 0.047.
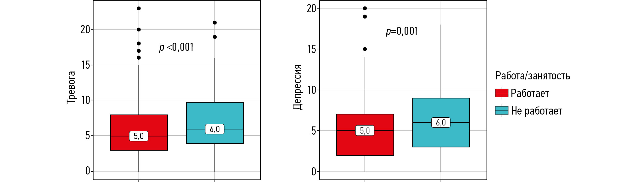
Медиана уровня стресса не различалась у больных с АГ в зависимости от занятости и составила 14,0 балла у работающих пациентов и 15,0 балла у неработающих (p=0,136). Уровни тревоги и депрессии, напротив, показали статистически значимые различия. У работающих лиц медиана как тревоги, так и депрессии составила 5,0 балла, в то время как у неработающих она была равна 6,0 (р ≤0,01 для тревоги и депрессии) (рис. 2).
Рис. 2. Уровни тревоги и депрессии в зависимости от занятости.
Fig. 2. Levels of anxiety, and depression depending on employment status.
При анализе уровней стресса у больных АГ в зависимости от уровня дохода было обнаружено статистически значимое различие между лицами, оценивающими свой доход как средний или высокий, и лицами с низким уровнем дохода. Подобная тенденция была также установлена при оценке уровня депрессии, в отличие от уровня тревоги, где значимой связи с уровнем дохода не обнаружено (табл. 4).
Таблица 4. Уровни стресса, тревоги и депрессии в зависимости от финансового положения
Table 4. Levels of stress, anxiety, and depression depending on financial status
Показатель | Категории дохода | Me | Q1–Q3 | n |
Стресс, баллы | Высокий | 13,5 | 6,0–18,0 | 36 |
Средний | 14,0 | 10,0–18,0 | 347 | |
Низкий | 18,0 | 14,0–24,0 | 70 | |
Тревога, баллы | Высокий | 5,0 | 2,75–8,0 | 36 |
Средний | 6,0 | 3,0–8,0 | 347 | |
Низкий | 6,0 | 4,0–10,0 | 70 | |
Депрессия, баллы | Высокий | 4,0 | 2,0–7,0 | 36 |
Средний | 5,0 | 2,0–7,0 | 347 | |
Низкий | 7,0 | 5,0–10,0 | 70 |
Примечание.
Стресс: pнизкий – высокий <0,001, pнизкий – средний <0,001; тревога: pнизкий – высокий = 0,115, pнизкий – средний = 0,210; депрессия: pнизкий – высокий = 0,001, pнизкий – средний <0,001.
Note. Stress: phigh – average <0.001, plow – average <0.001; anxiety: phigh – average = 0.115, plow – average = 0.210; depression: рhigh – average = 0.001, plow – average <0.001.
У некурящих лиц отмечался более высокий уровень стресса (Ме: 15,0, Q1–Q3: 11,0–19,0) по сравнению с курящими (Ме: 12,5, Q1–Q3: 7,25–18,0) (р=0,008). Такая картина не наблюдалась при оценке уровня тревоги и депрессии в зависимости от курения.
При оценке показателя «тревога» в зависимости от показателя «стресс» была установлена малой тесноты прямая связь: при увеличении показателя «стресс» на 1 следует ожидать увеличения показателя «тревога» на 0,331. Эта зависимость описывается уравнением парной линейной регрессии: y (тревога) = 0,331 × x (стресс) + 1,262. Полученная модель объясняет 30,9% наблюдаемой дисперсии показателя «тревога» (рис. 3).
Рис. 3. Парная линейная регрессия связи депрессии, тревоги и стресса.
Fig. 3. Pairwise linear regression of depression, anxiety and stress.
При оценке зависимости показателя «депрессия» от показателя «стресс» была установлена умеренной тесноты прямая связь: при увеличении показателя «стресс» на 1 следует ожидать увеличения показателя «депрессия» на 0,246. Наблюдаемая зависимость описывается уравнением парной линейной регрессии: y (депрессия) = 0,246 × x (стресс) + 1,737. Полученная модель объясняет 22,1% наблюдаемой дисперсии показателя «депрессия» (см. рис. 3).
Обсуждение
Резюме основного результата исследования
В ходе исследования у пациентов с артериальной гипертензией установлено, что медиана уровня стресса составила 15,0 балла (Q1–Q3: 10,0–19,0), тревоги — 6,0 балла (Q1–Q3: 3,0–8,0), а депрессии — 5,0 балла (Q1–Q3: 2,0–8,0). Высокий уровень тревоги отмечался у 32,2% обследованных, из них 42,5% достигли клинического уровня тревоги. Повышенный уровень депрессии был отмечен у 26,3% участников, из которых 36,9% достигли клинического уровня депрессии.
Возраст показывал слабую, но статистически значимую связь с уровнем депрессии: увеличение возраста на один год связано с повышением уровня депрессии на 0,041 балла. Женщины имели более высокие уровни стресса, тревоги и депрессии по сравнению с мужчинами. Пациенты, не имеющие среднего или высшего образования, демонстрировали более высокие уровни стресса, тревоги и депрессии. Одинокие люди также показывали более высокие уровни стресса, тревоги и депрессии по сравнению с теми, кто проживает в семье. Уровень стресса был выше у некурящих по сравнению с курящими, но уровень тревоги и депрессии не зависел от курения.
Низкий уровень дохода был связан с более высокими уровнями стресса и депрессии, в то время как уровень тревоги не имел значимой связи с уровнем дохода. У работающих пациентов уровни тревоги и депрессии были ниже по сравнению с неработающими.
Обсуждение основного результата исследования
Общая распространённость субклинического/клинического уровня тревоги и депрессии в исследовании ЭССЕ-РФ составила 46,3 и 25,6% соответственно [12] и при сопоставлении с данными ЭССЕ-РФ3, проведённого несколько позже в других 15 регионах Российской Федерации, оказалась ниже и составила уже 26,1 и 20,5% соответственно [7]. Разница в частоте встречаемости тревоги и депрессии в двух эпидемиологических работах может объясняться региональными особенностями включённых в исследование регионов РФ. Так, в ЭССЕ-РФ3 распространённость тревоги составила 22,0% в Тюмени (самая низкая) и 59,8% в Республике Саха (самая высокая) — разница более чем в 2,7 раза.
Наши результаты по частоте тревоги (32,2%) среди лиц с АГ близки к средним данным по России (37,7%) и несколько ниже результатов исследований в Кемерово и Воронеже, где их распространённость составила 39,9 и 39,4% соответственно [13].
Относительно частоты депрессии наши результаты (26,3%) были более высокими, чем в 7 из 10 регионов, включённых в исследование ЭССЕ-РФ (Воронеж — 19,2%, Иваново — 20,1%, Кемерово — 16,7%, Самара — 25,6%, Санкт-Петербург — 18,9%, Томск — 19,5%, Тюмень — 18,8%). Согласно данным ЭССЕ-РФ, средние уровни стресса в популяции населения РФ составили 12,0±7,3 (13,1±7,4 у женщин и 10,7±7,0 у мужчин) [8], что несколько ниже, чем средние значения, установленные в нашем исследовании (Ме — 15,5 у женщин и 13,0 у мужчин).
Такие различия в распространённости тревоги и депрессии, по нашим данным в сравнении с общероссийскими, могут быть объяснены как региональными особенностями РО, так и наличием ГБ у исследуемых нами пациентов.
Установленные в нашей работе более высокие уровни стресса, тревоги и депрессии у больных АГ, проживающих в одиночестве, сопоставимы с данными исследования Z.I. Santini и соавт. [14], где было обнаружено, что социальное отчуждение предопределяло более высокое восприятие изоляции в последующем и, в свою очередь, ассоциировалось с повышенной частотой симптомов депрессии и тревоги. Обратные взаимосвязи депрессии, тревоги и одиночества также были подтверждены статистически, что свидетельствует об их двунаправленном влиянии.
Полученные в нашем исследовании сведения о взаимосвязи более высокого уровня стресса и тревоги у пациентов с АГ, не имеющих среднего или высшего образования, согласуются с данными исследования, проведённого в Китае среди женщин 40–70 лет, у которых АГ ассоциировалась с повышенными шансами развития депрессивных расстройств у лиц, проживающих в сельских районах (отношение шансов (ОШ)=1,34, 95% ДИ 1,13–1,59), при более низком уровне образования (ОШ=1,28, 95% ДИ 1,12–1,46) [15]. Аналогичные результаты были получены в рамках популяционного исследования HUNT, в котором обнаружено, что низкий уровень образования существенно связан как с тревожностью, так и с депрессией [16].
Наши результаты, касающиеся взаимосвязи между уровнями стресса, тревоги и депрессии и экономическим положением, в значительной степени согласуются с данными исследований, проведённых в различных странах. Так, метаанализ, выполненный в США, показал, что вероятность развития депрессии у лиц с низким уровнем дохода выше на 80% по сравнению с лицами со средним и/или высоким уровнем [17]. Жизнь с ограниченными финансовыми ресурсами может стать причиной проблем со здоровьем, включая депрессию и тревожность, через механизм стрессового ответа [18].
Полученные в нашем исследовании данные о более высоком уровне стресса у некурящих больных АГ по сравнению с курящими отличаются от данных других работ, где установлено, что более высокие уровни стресса связаны с более широким распространением курения. Эта взаимосвязь труднообъяснима, поскольку существует всё больше доказательств того, что высокие уровни ощущаемого стресса связаны с более широким распространением курения [19].
Ограничения исследования
Несмотря на то, что выборка составляет 453 человека, она может не полностью отражать разнообразие популяции пациентов с артериальной гипертензией. Также исследование выполнялось в одной временной точке.
Оценка уровней стресса, тревоги и депрессии основана на самооценке участников, что может вводить субъективность и погрешности в полученные результаты.
В исследовании также не были учтены все возможные факторы, влияющие на уровни стресса и психоэмоциональное состояние, такие как анамнез психических заболеваний, социальная поддержка и текущие жизненные события.
Заключение
Распространённость тревоги среди пациентов с артериальной гипертензией в Рязанском регионе оказалась ниже, а распространённость депрессии — более высокой, чем в 7 из 10 регионов РФ и в общей популяции в исследовании ЭССЕ-РФ.
Женский пол, семейное положение, низкий уровень образования и низкая материальная обеспеченность представляют собой факторы, способствующие увеличению уровня стресса у пациентов с АГ в Рязанском регионе, при этом у курящих отмечается более низкий уровень стресса.
Женский пол, семейное положение, низкий уровень образования и занятости, повышенный уровень стресса представляют собой факторы, способствующие одновременному увеличению уровня тревоги и депрессии, и дополнительно низкая материальная обеспеченность — более высокому уровню депрессии.
Дополнительная информация
Источник финансирования. Авторы заявляют об отсутствии внешнего финансирования при проведении исследования.
Конфликт интересов. Авторы декларируют отсутствие явных и потенциальных конфликтов интересов, связанных с публикацией настоящей статьи.
Вклад авторов. А. Гленза — проведение статистического анализа, обобщение результатов исследования, подготовка и редактирование текста, интерпретация результатов исследования, формулировка выводов; Н.В. Добрынина — разработка концепции исследования, планирование исследования, обобщение результатов исследования, формулировка выводов, утверждение окончательного варианта статьи; С.С. Якушин — разработка концепции исследования, планирование исследования, обобщение результатов исследования, формулировка выводов, утверждение окончательного варианта статьи; А.А. Дзекан — проведение статистического анализа, подготовка текста, интерпретация результатов исследования, формулировка выводов. Все авторы внесли существенный вклад в подготовку работы, прочли и одобрили финальную версию статьи перед публикацией.
Благодарности. Авторский коллектив выражает глубокую признательность сотрудникам ФГБУ «НМИЦ ТПМ» Минздрава России за методическое руководство и помощь в планировании и организации исследования ЭССЕ-РФ2.
Additional information
Funding source. This study was not supported by any external sources of funding.
Competing interests. The authors declare that they have no competing interests.
Authors’ contribution. A. Glenza — conducted statistical analysis, summarized research results, prepared and edited the text, interpreted the research results, and formulated conclusions; N.V. Dobrynina — developed the research concept, planned the study, summarized research results, formulated conclusions, and approved the final version of the article; S.S. Yakushin — developed the research concept, planned the study, summarized research results, formulated conclusions, and approved the final version of the article; A.A. Dzekan — conducted statistical analysis, prepared the text, interpreted the research results, and formulated conclusions. All authors made significant contributions to the preparation of the work, read, and approved the final version of the article before publication.
Acknowledgments. The authors express their deep gratitude to the staff of the National Medical Research Center for Therapy and Preventive Medicine for their methodological guidance and assistance in planning and organizing the ESSE-RF2 study.
About the authors
Ayoub Glenza
Pavlov Ryazan State Medical University
Author for correspondence.
Email: ayoub.glenza@gmail.com
ORCID iD: 0000-0003-1330-2035
SPIN-code: 6742-5027
postgraduate student
Russian Federation, 96 Stroykova street, 390026 RyazanNatalia V. Dobrynina
Pavlov Ryazan State Medical University
Email: lec.roccd@gmail.com
ORCID iD: 0000-0003-2200-1592
SPIN-code: 9595-2986
MD, Cand. Sci. (Medicine), Associate Professor
Russian Federation, 96 Stroykova street, 390026 RyazanSergey S. Yakushin
Pavlov Ryazan State Medical University
Email: ssyakushin@yandex.ru
ORCID iD: 0000-0002-1394-3791
SPIN-code: 7726-7198
MD, Dr. Sci. (Medicine), Professor
Russian Federation, 96 Stroykova street, 390026 RyazanAlexander A. Dzekan
Pavlov Ryazan State Medical University
Email: 132litiy231@gmail.com
ORCID iD: 0009-0006-1362-3428
MD
Russian Federation, 96 Stroykova street, 390026 RyazanReferences
- Кашутина М.И., Концевая А.В. Осведомлённость об уровне артериального давления и его контроль в популяции: роль контактов населения с системой здравоохранения // Профилактическая медицина. 2021. Т. 24, № 5. С. 126–131. doi: 10.17116/profmed202124051126
- Balanova Yu.A., Shalnova S.A., Imaeva A.E., et al. Prevalence, awareness, treatment and control of hypertension in Russian Federation (Data of Observational ESSERF-2 Study) // Rational Pharmacotherapy in Cardiology. 2019. Vol. 15, N 4. Р. 450–466. doi: 10.20996/1819-6446-2019-15-4-450-466
- Brugnera A., Compare A., Omboni S., et al. Psychological covariates of blood pressure among patients with hypertension and metabolic syndrome // Health Psychol. 2022. Vol. 41, N 12. Р. 946–954. doi: 10.1037/hea0001205
- Гафаров В.В., Громова Е.А., Гагулин И.В., и др. Изучение влияния стресса на риск артериальной гипертензии в открытой популяции среди мужчин 25–64 лет (эпидемиологическое исследование на основе программы ВОЗ «MONICA — PSYCHOSOCIAL») // Артериальная гипертензия. 2013. Т. 19, № 1. С. 27–31. doi: 10.18705/1607-419X-2013-19-1-27-31
- Chamik T., Viswanathan B., Gedeon J., Bovet P. Associations between psychological stress and smoking, drinking, obesity, and high BP in an upper middle-income country in the African region // Stress Health. 2018. Vol. 34. Р. 93–101. doi: 10.1002/smi.2766
- Психическое здоровье. Информационный бюллетень от 17 июня 2022 [Электронный ресурс]. Geneva: World Health Organization. Режим доступа: https://www.who.int/director-general/speeches/detail/launch-of-the-who-world-mental-health-report--transforming-mental-health-for-all-department-of-mental-health-and-substance-use---17-june-2022
- Драпкина О.М., Гоманова Л.И., Баланова Ю.А., и др. Распространённость психоэмоционального стресса среди российской популяции и его ассоциации с социально-демографическими показателями. Данные исследования ЭССЕ-РФ3 // Кардиоваскулярная терапия и профилактика. 2023. Т. 22, № 8S. С. 3795. doi: 10.15829/1728-8800-2023-3795. EDN: OAQXPT
- Шальнова С.А., Евстифеева С.Е., Деев А.Д., и др. Распространённость тревоги и депрессии в различных регионах Российской Федерации и ее ассоциации с социально-демографическими факторами (по данным исследования ЭССЕ-РФ) // Терапевтический архив. 2014. Т. 86, № 12. С. 53–60. doi: 17116/terarkh2014861253-60
- Абабков В.А., Барышникова К., Воронцова-Венгер О.В., и др. Валидизация русскоязычной версии опросника «Шкала воспринимаемого стресса-10» // Вестник Санкт-Петербургского университета. Серия 16. Психология. Педагогика. 2016. № 2. С. 6–15. doi: 10.21638/11701/spbu16.2016.202. EDN: UALWVL
- Zigmond A.S., Snaith R.P. The Hospital Anxiety and Depression scale // Acta Psychiatr Scand. 1983. Vol. 67, N 6. Р. 361–370. doi: 10.1111/j.1600-0447.1983.tb09716.x
- Андрюшенко А.В., Дробижев М.Ю., Добровольский А.В. Сравнительная оценка шкал CES-D, BDI и HADS(d) в диагностике депрессий в общемедицинской практике // Журнал неврологии и психиатрии. 2003. Т. 103, № 5. С. 11–18.
- Евстифеева С.Е., Шальнова С.А., Куценко В.А., и др. Тревога и депрессия: десятилетняя динамика распространённости и её ассоциации с демографическими и социально-экономическими показателями по данным исследования ЭССЕ-РФ // Кардиоваскулярная терапия и профилактика. 2023. Т. 22, № 8S. С. 3796. EDN: ZRQCJG doi: 10.15829/1728-8800-2023-3796
- Шаповалова Э.Б., Максимов С.А., Индукаева Е.В., и др. Ассоциация стресса с сердечно-сосудистыми заболеваниями и факторами риска в популяции (ЭССЕ-РФ в Кемеровской области) // Российский кардиологический журнал. 2019. № 9. С. 7–13. doi: 10.15829/1560-4071-2019-9-7-13
- Santini Z.I., Jose P.E., York Cornwell E., et al. Social disconnectedness, perceived isolation, and symptoms of depression and anxiety among older Americans (NSHAP): a longitudinal mediation analysis // Lancet Public Health. 2020. Vol. 5, N 1. Р. e62–e70. doi: 10.1016/S2468-2667(19)30230-0
- Wang X., Gao D., Wang X., et al. Hypertension, socioeconomic status and depressive and anxiety disorders: a cross-sectional study of middle-aged and older Chinese women // BMJ Open. 2023. Vol. 13, N 12. Р. e077598. doi: 10.1136/bmjopen-2023-077598
- Bjelland I., Krokstad S., Mykletun A., et al. Does a higher educational level protect against anxiety and depression? The HUNT study // Soc Sci Med. 2008. Vol. 66, N 6. Р. 1334–1345. doi: 10.1016/j.socscimed.2007.12.019
- Lorant V., Deliege D., Eaton W., et al. Socioeconomic inequalities in depression: A metaanalysis // American Journal of Epidemiology. 2003. Vol. 157, N 2. Р. 98–112. doi: 10.1093/aje/kwf182
- Van der Gucht K., Takano K., Van Broeck N., et al. A mindfulness-based intervention for economically disadvantaged people: Efects on symptoms of stress, anxiety, and depression and on cognitive reactivity and overgeneralization // Mindfulness. 2015. Vol. 6, N 5. Р. 1042–1052. doi: 10.1007/s12671-014-0353-8
- Richards J.M., Stipelman B.A., Bornovalova M.A., et al. Biological mechanisms underlying the relationship between stress and smoking: state of the science and directions for future work // Biol Psychol. 2011. Vol. 88, N 1. Р. 1–12. doi: 10.1016/j.biopsycho.2011.06.009
Supplementary files





