Effect of αα2-adrenoceptor stimulation on the isolated rat heart after acute myocardial infarction
- Authors: Kuptsova A.M.1, Ziyatdinova N.I.1, Sadykov A.M.1, Zefirov T.L.1
-
Affiliations:
- Kazan (Volga Region) Federal University
- Issue: Vol 16, No 3 (2025)
- Pages: 219-229
- Section: Original study articles
- Submitted: 08.04.2025
- Accepted: 22.09.2025
- Published: 25.09.2025
- URL: https://cardiosomatics.ru/2221-7185/article/view/678242
- DOI: https://doi.org/10.17816/CS678242
- EDN: https://elibrary.ru/DFXJXU
- ID: 678242
Cite item
Full Text
Abstract
Background: α2-Adrenoceptors (α2-ARs) are a family of G protein–coupled receptors. They are located on presynaptic membranes of adrenergic fibers, postsynaptic membranes of cardiomyocytes and vascular smooth muscle cells, as well as in the peripheral and central nervous systems, intestinal and renal epithelium, and the sarcolemma of cardiomyocytes. The cardioprotective properties of myocardial α2-ARs have been demonstrated. However, the specific contribution of α2-ARs to myocardial responses after infarction remains insufficiently understood.
AIM: The work aimed to investigate the effect of α2-AR stimulation on functional parameters of the isolated rat heart in a model of acute myocardial infarction.
METHODS: The experiment involved 48 outbred rats aged 100–120 days with a mean body weight of 200–250 g. Myocardial infarction was induced by ligation of the left anterior descending coronary artery. Ex vivo experiments were performed on isolated hearts. To evaluate the effects of α2-AR stimulation, clonidine hydrochloride was administered at concentrations of 10–9 M and 10–6 M.
RESULTS: Activation of α2-ARs (10–9 M, 10–6 M) produced opposite effects on the functional parameters of the isolated heart: it increased left ventricular developed pressure and coronary flow in sham-operated rats and those with acute myocardial infarction, whereas it decreased these parameters in healthy animals. Heart rate decreased in all groups during α2-AR stimulation, whereas in healthy rats the α2-AR agonist (10–6 M) induced bidirectional changes. Stimulation of α2-ARs (10–9 M) reduced contraction duration and increased relaxation and total contraction cycle duration of the left ventricular myocardium in healthy and sham-operated rats, whereas bidirectional effects were observed in rats with acute myocardial infarction. Activation of α2-ARs (10–6 M) induced bidirectional changes in contraction, relaxation, and contraction cycle duration of the left ventricular myocardium in healthy rats. Clonidine hydrochloride (10–6 M) did not affect contraction duration but increased relaxation and total contraction cycle duration in sham-operated rats and in those with acute myocardial infarction.
CONCLUSION: Activation of α2-ARs in rats with acute myocardial infarction alters the parameters of left ventricular developed pressure and coronary flow, decreases heart rate, and exerts bidirectional effects on the time–velocity characteristics of the left ventricular myocardium.
Full Text
Обоснование
α2-Адренорецепторы (α2-AР) представляют семейство рецепторов, связанных с G-белком, и подразделяются на три подтипа: α2А-, α2В- и α2С-АР [1]. Они располагаются на пресинаптических мембранах адренергических волокон, на постсинаптических мембранах кардиомиоцитов, в гладких мышцах сосудов, в периферической и центральной нервной системе, кишечном и почечном эпителии, кровеносных сосудах, в сарколемме кардиомиоцитов [2].
Активация α2-AР может приводить к ингибированию циклического аденозинмонофосфата и потенциалзависимых Ca2+-каналов, открытию K+-каналов, NO–цГМФ пути [3]. Агонисты α2-AР:
- широко используются в качестве адъюванта для премедикации в предоперационный период [4];
- обладают седативным действием [5];
- участвуют в регуляции спонтанной двигательной активности в ночное время;
- повышают продолжительность фазы медленного сна и уменьшают длительность парадоксального сна;
- вызывают брадикардию, гипотонию, гипотермию;
- повышают чувствительность барорецепторного рефлекса;
- имеют гипногенный эффект;
- снижают внутриглазное давление [6].
Обзор литературных данных выявил разнонаправленные эффекты влияния стимуляции и блокады α2-АР на сердечно-сосудистую систему [6–12]. R. Gilsbach и соавт. показали, что стимуляция α2-АР уменьшает частоту сердечных сокращений (ЧСС), обусловливая торможение выделения норадреналина из симпатических нервов [7]. В экспериментах на изолированном сердце активация α2-АР вызывала снижение ЧСС и лишь в концентрации 10−6 М оказывала разнонаправленные эффекты [8]. В исследованиях in vivo блокада α2-АР йохимбина гидрохлоридом не изменяла ЧСС у взрослых крыс и вызывала брадикардию у крыс на ранних этапах постнатального онтогенеза [9]. Выявлены возрастные особенности влияния блокады α2-АР на ЧСС крыс в исследованиях in vitro [10]. Работы по изучению инотропной функции сердца животных также неоднозначны [6, 10]. Ранее показано, что стимуляция α2-АР ex vivo в изолированном сердце снижала амплитуду давления, развиваемого левым желудочком (ДРЛЖ) [8], а in vitro на полосках миокарда предсердий и желудочков вызывала разнонаправленные инотропные эффекты [11]. При блокаде α2-АР выявлено двухфазное изменение сократительной активности у крыс, не имеющих симпатическую иннервацию сердца [12].
В работах ряда авторов показаны кардиопротекторные свойства миокардиальных α2-АР [6, 13]. Выявлено, что стимуляция α2-АР способна противодействовать развитию гипертрофии у трансгенных крыс с повышенным содержанием ангиотензина II в сердечной ткани [14]. Стимуляция α2-АР селективным агонистом UK-14304 во время желудочковой тахикардии/фибрилляции, вызванной ишемией с последующей реперфузией, оказывает антиаритмическое действие на миокард крысы [15]. Дексмедетомидин, высокоселективный агонист α2-AР, оказывает прямое защитное действие против ишемии/реперфузионного повреждения в различных органах, включая сердце [16]. Предварительная обработка агонистом α2-AР защищает сердце посредством активации фосфоинозитид-3 киназы, протеинкиназы B и киназы, регулируемой внеклеточными сигналами, в моделях ишемии/реперфузионного повреждения у крыс in vivo и ex vivo [17]. Кроме того, многочисленные исследования показали, что сигнальный путь синтазы оксида азота/оксида азота эндотелиального типа играет решающую роль в кардиопротекторном эффекте предварительного лечения дексмедетомидином при ишемии/реперфузионном повреждении [16]. В исследованиях ex vivo с экспериментальной моделью инфаркта миокарда (ИМ) на стадии рубцовых изменений агонист α2-AР клонидин оказывал положительный инотропный ответ, брадикардию [12].
Таким образом, исследования по изучению стимуляции α2-АР в изолированном сердце с моделью острого инфаркта миокарда (ОИМ) представляют безусловный интерес, поскольку известно, что ИМ является одной из ведущих причин смертности людей в мире (около 12% общего числа смертей). Кроме того, в литературе подчёркивается кардиопротекторный потенциал α2-AР, однако мало что известно о конкретном вкладе α2-AР в реакции сердечной мышцы при ИМ.
Цель
Изучить влияние стимуляции α2-AР на параметры работы изолированного сердца крыс с моделью ОИМ.
Методы
В эксперименте использовались 48 беспородных крыс в возрасте 100–120 дней, средняя масса тела которых составила 200–250 г. Животные были разведены и выращены в условиях вивария Института фундаментальной медицины и биологии Федерального государственного автономного образовательного учреждения высшего образования «Казанский (Приволжский) федеральный университет». Животные размещались в стандартных клетках, предназначенных для содержания и разведения лабораторных грызунов, по 3–4 однополых особи. В качестве корма были использованы крупяные и зерновые смеси и специализированный корм (Дельта Фидс, Россия) для содержания лабораторных животных. Крысы имели свободный доступ к пище и воде, соблюдался режим «12 часов свет — 12 часов темнота», при постоянной температуре 22 ℃ и влажности 60%.
Крысы были разделены на 3 группы:
- 1-я (контроль) — здоровые (n=12);
- 2-я (контроль) — ложнооперированные (ЛО) (n=12), сформирована для исключения факторов оперативного вмешательства;
- 3-я — с моделью ОИМ, через 24 часа после окклюзии коронарной артерии (n=20).
Методика воспроизведения модели инфаркта миокарда
Формирование модели ИМ проводили под наркозом (3% раствор изофлурана). После этого животное фиксировалось за лапки к операционному столу резиновыми лентами. На левой стороне груди крысы состригали шёрстный покров, дезинфицировали и делали разрез кожи. При помощи ранорасширителей разводили грудные мышцы, и между V и VI рёбрами производили разрез длиной около 10–15 мм. Затем надавливанием пальцами на грудную клетку с обеих сторон выводили сердце из грудной полости. Сердце удерживали за желудочки, на переднюю ветвь левой коронарной артерии накладывали лигатуру (Prolene 6/0, Ethicon, США) на 0,5–1 мм ниже её выхода из-под ушка сердца и троекратно перевязывали, затем сердце возвращали в грудную полость. Мышцы сдвигали, кожу зашивали и обрабатывали антисептическим препаратом. Сразу после сдвигания мышц и кожи животное начинало дышать. В послеоперационный период животные содержались в условиях вивария.
Методика приготовления препарата изолированного сердца
Эксперименты ex vivo проведены на установке Лангендорфа (ADinstruments, Австралия). Животным внутрибрюшинно вводили 25% раствор уретана (в дозе 800 мг/кг массы). Сердце извлекали, промывали и помещали в холодный раствор Кребса–Гензелейта (2–5 °С). Изолированное сердце фиксировали за аорту на канюле и ретроградно подавали оксигенированный (95% O2, 5% CO2) раствор, под постоянным гидростатическим давлением 75 мм рт. ст. и температуре 37 ℃. Сократительную активность миокарда изучали в изоволюмическом режиме при помощи датчика давления модели MLТ844 (ADinstruments, Австралия) и латексного баллончика, заполненного водой и введённого в полость левого желудочка. По кривой подсчитывали ЧСС, ДРЛЖ, коронарный поток (КП), время сокращения и расслабления левого желудочка, время цикла сокращения левого желудочка. Запись регистрировали на установке Power Lab 8/35 (ADinstruments, Австралия) при помощи программы LabChart Pro.
Для изучения влияния стимуляции α2-AР в перфузионный раствор добавляли клонидин гидрохлорид (Sigma-Aldrich, США) в концентрациях 10−9 М и 10−6 М. После стабилизации параметров работы изолированного сердца добавляли в перфузируемый раствор агонист α2-АР. Перфузию изолированного сердца записывали в течение 20 минут.
Этическая экспертиза
Экспериментальное исследование проведено с соб-людением Европейских конвенций о защите животных, используемых в научных целях (Страсбург, 1986 г.), и одобрено локальным этическим комитетом Федерального государственного автономного образовательного учреждения высшего образования «Казанский (Приволжский) федеральный университет» (Протокол № 39 от 22.12.2022).
Статистический анализ
Статистическую обработку полученных результатов проводили в программе MS Excel 2010 (Microsoft Corp., США) и с использованием однофакторного дисперсного анализа (ANOVA) с последующим применением t-критерия для независимых переменных и t-критерия для зависимых выборок в программе Statistica 13.0 (TIBCO Software, США). Данные представлены в виде среднего значения (М) ± ошибка среднего (m). Различия считали статистически значимыми при p <0,05.
Результаты
В экспериментах ex vivo через 24 часа после окклюзии коронарного сосуда на изолированное сердце крыс накладывали электроды и регистрировали электрограмму, на которой регистрировался подъём сегмента ST, свидетельствующий о развитии острой стадии ИМ [13] (рис. 1, d).
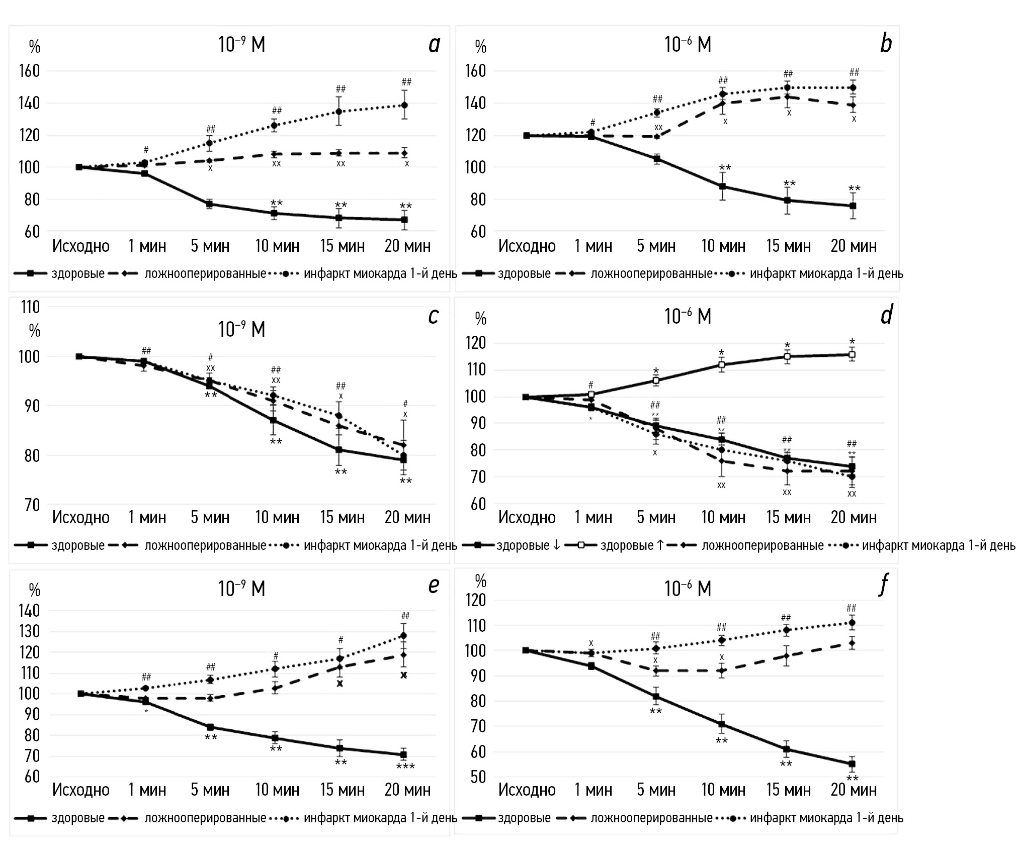
Рис. 1. Оригинальные записи экспериментального исследования крыс с моделью острого инфаркта миокарда: a — динамика давления, развиваемого левым желудочком, при стимуляции α2-адренорецепторов (10−6 М); b — динамика коронарного потока при стимуляции α2-адренорецепторов (10−6 М); c — значения давления, развиваемого левым желудочком изолированного сердца, при стимуляции α2-адренорецепторов (10−9 М), оригинальная запись; d — электрограмма, оригинальная запись.
Fig. 1. Original recordings of an experimental study of rats with an acute myocardial infarction model: a, the dynamics of left ventrical pressure α2-AR stimulation (10–6 M); b, the dynamics of coronary flow during α2-AR stimulation (10–6 M); c, the values of left ventrical pressure of an isolated heart during α2-AR stimulation (10–9 M), original recording; d, electrogram, original recording.
Давление, развиваемое левым желудочком
Динамика изменения ДРЛЖ в исследуемых экспериментальных группах была неодинакова. ДРЛЖ в группе здоровых крыс после добавления в перфузируемый раствор агониста α2-AР (10−9 М) уменьшилось c 67,8±4,4 мм рт. ст. до 44,9±3,6 мм рт. ст. (p <0,01), на 33% исходного значения. В группе ЛО клонидин гидрохлорид увеличивал ДРЛЖ на 9%: с 69,0±6,5 мм рт. ст. до 74,3±4,4 мм рт. ст. (p <0,05). На стадии развития ОИМ ДРЛЖ увеличивалось на 39% исходного значения: с 43,1±8,1 до 59,8±10,7 мм рт. ст. (p <0,01) (рис. 1, c; рис. 2, a). После введения агониста α2-AР в концентрации 10−6 М ДРЛЖ в группе здоровых животных уменьшилось с 73,5±4,5 мм рт. ст. до 42,9±7,1 мм рт. ст. (p <0,01), на 44% исходного значения. В группе ЛО клонидин гидрохлорид увеличивал ДРЛЖ с 80,7±4,5 мм рт. ст. до 102,5±0,4 мм рт. ст. (p <0,05) к 15-й минуте эксперимента, увеличение составило 28%. Затем наблюдали снижение ДРЛЖ до 95,6±1 мм рт. ст. (p <0,05) к 20 минуте, от исходного значения. В группе ОИМ ДРЛЖ при стимуляции α2-AР увеличивалось на 30% с 68,2±8,8 мм рт. ст. до 88,2±10,3 мм рт. ст. (p <0,01) (рис. 1, a; рис. 2, b).
Рис. 2. Влияние стимуляции α2-адренорецепторов (10−9 М и 10−6 М) на здоровых крыс, ложнооперированных крыс и крыс с острым инфарктом миокарда: a, b — давление, развиваемое левым желудочком; c, d — частота сердечных сокращений; e, f — коронарный поток. Достоверность указана по сравнению с исходными значениями: * — p <0,05, ** — p <0,01; *** — p <0,001 (здоровые); х — p <0,05, хх — p <0,01 (ложнооперированные крысы); # — p <0,05, ## — p <0,01 (крысы с моделью острого инфаркта миокарда).
Fig. 2. The effect of α2-АR stimulation (10−9 M and 10–6 M) on left ventrical pressure (a, b), heart rate (c, d), and coronary flow (e, f) in healthy rats, sham-operated rats, and rats with acute myocardial infarction. The reliability is indicated in comparison with the initial values: * — p < 0.05, ** — p < 0.01, *** — p < 0.001 (healthy); x — p < 0.05, xx — p < 0.01 (sham-operated rats); # — p < 0.05, ## — p < 0.01 (rats with an acute myocardial infarction model).
Частота сердечных сокращений
ЧСС изолированного сердца здоровых крыс при стимуляции α2-AР (10−9 М) уменьшалась на 21% исходного значения: с 211,7±7,3 в минуту до 165,5±11,4 в минуту (p <0,05). В группе ЛО ЧСС при стимуляции α2-AР уменьшалась на 18%: с 227,0±11,3 в минуту до 183,2±3,2 в минуту (p <0,05). В группе ОИМ ЧСС при активации α2-AР уменьшалась на 20%: с 217,3±15 в минуту до 191,9±17 в минуту (p <0,05) (рис. 2, c). При использовании агониста α2-AР в большей концентрации (10−6 М) данный показатель у здоровых животных изменялся разнонаправленно. У части животных ЧСС уменьшалась на 26% исходного значения: с 219,7±7,7 в минуту до 161,5±4,7 в минуту (p <0,01). У другой части животных наблюдали увеличение ЧСС на 16% исходного значения: с 202,3±10,5 в минуту до 233,8±8 в минуту (p <0,05). В группе ЛО крыс стимуляция α2-AР (10−6 М) уменьшала ЧСС на 28%: с 270,9±17,6 в минуту до 190,9±5,2 в минуту (p <0,01). В группе ОИМ стимуляция α2-AР уменьшала ЧСС на 30% исходного значения: с 221,1±9,1 в минуту до 154,0±7,9 в минуту (p <0,01) (рис. 2, d).
Коронарный поток
При стимуляции α2-АР КП изолированного сердца крыс разных экспериментальных групп изменялся разнонаправленно. Активация α2-АР (10−9 М) в экспериментальной группе здоровых животных уменьшала КП на 29% исходного значения: с 13,4±0,3 мл/мин до 9,6±0,6 мл/мин (p <0,05). В группе ЛО крыс стимуляция клонидином увеличивала КП на 19% исходного значения: с 6,9±0,3 мл/мин до 8,2±0,3 мл/мин (p <0,05). В группе с моделью ОИМ активация α2-АР увеличивала КП на 28% исходного значения: с 8,3±1,3 мл/мин до 10,6±1,7 мл/мин (p <0,01) (рис. 2, e). Стимуляция клонидином гидрохлоридом в концентрации 10−6 М в группе здоровых животных уменьшала КП с 11,5±0,4 мл/мин до 6,3±0,2 мл/мин (p <0,01), то есть на 45% исходного значения. У ЛО крыс активация α2-АР оказывала двухфазное действие: до 10-й минуты эксперимента наблюдали уменьшение КП с 11,8±0,5 мл/мин до 10,8±0,2 мл/мин (p <0,05) — на 8% — а затем увеличение до 12,0±0,3 мл/мин — на 3%. В группе крыс с ОИМ при активации α2-АР КП увеличивался на 11%: с 11,5±1,5 мл/мин до 12,8±1,4 мл/мин (p <0,01) (рис. 1, b; рис. 2, f).
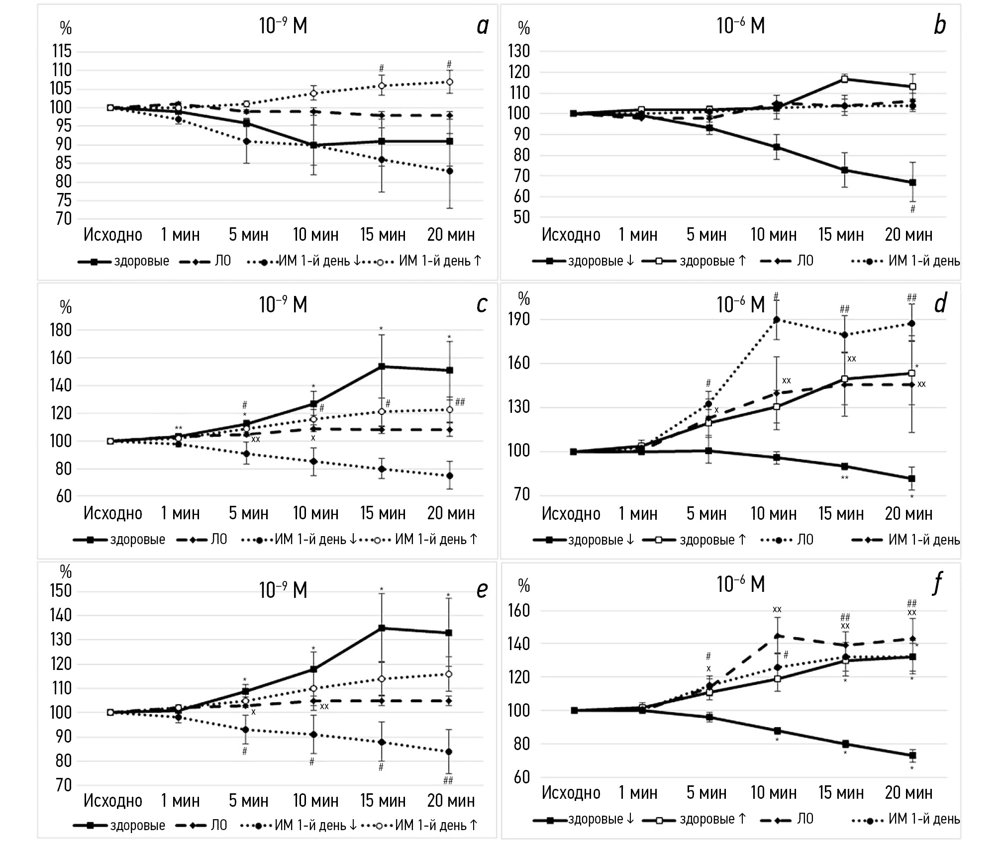
Время сокращения миокарда левого желудочка
Добавление в рабочий раствор агониста α2-АР (10−9 М) уменьшало время сокращения миокарда левого желудочка в группе здоровых крыс с 0,122±0,007 с до 0,114±0,004 с — на 9% исходного значения. В группе ЛО животных время сокращения при стимуляции α2-АР не изменилось. В экспериментальной группе с ОИМ наблюдалась разнонаправленная динамика изменения изучаемого показателя: у части крыс наблюдали увеличение длительности сокращения на 7% исходного значения: с 0,11±0,006 с до 0,117±0,004 с (p <0,05); у другой части крыс наблюдали уменьшение времени сокращения на 17% исходного значения: с 0,109±0,01 с до 0,089±0,006 с (рис. 3, a). Введение в рабочий раствор клонидина гидрохлорида в концентрации 10−6 М оказывало разнонаправленное влияние на длительность сокращения миокарда левого желудочка в группе контрольных животных: у части крыс длительность сокращения уменьшалась на 33%: с 0,133±0,018 с до 0,09±0,016 с (p <0,05); у других — увеличивалась на 17%: с 0,109±0,049 с до 0,128±0,056 с на 15-й минуте эксперимента. Стимуляция α2-АР увеличивала длительность сокращения миокарда левого желудочка у ЛО крыс на 6%: с 0,109±0,005 с до 0,115±0,001 с. В группе с экспериментальной моделью ОИМ длительность сокращения увеличилась на 4%: с 0,112±0,004 с до 0,116±0,004 с (рис. 3, b).
Рис. 3. Влияние стимуляции α2-адренорецепторов (10−9 М и 10−6 М) на миокард левого желудочка здоровых крыс, ложнооперированных крыс и крыс с острым инфарктом миокарда: a, b — время сокращения; c, d — время расслабления; e, f — время цикла сокращения. Достоверность указана по сравнению с исходными значениями: * — p <0,05, ** — p <0,01 (здоровые); х — p <0,05, хх — p <0,01 (ложнооперированные крысы); # — p <0,05, ## — p <0,01 (крысы с моделью острого инфаркта миокарда). ЛО — ложнооперированные, ИМ — инфаркт миокарда.
Fig. 3. The effect of α2-АR stimulation (10–9 M and 10–6 M) on the contraction time (a, b), relaxation time (c, d) and the contraction cycle time of the left ventricular myocardium (e, f) in healthy rats, sham-operated rats and rats with acute myocardial infarction. The reliability is indicated in comparison with the initial values: * — p < 0.05, ** — p < 0.01 (healthy); x — p < 0.05, xx — p < 0.01 (sham-operated rats), # — p < 0.05; ## — p < 0.01 (rats with acute myocardial infarction model). ЛО — sham-operated, ИМ — myocardial infarction.
Длительность расслабления миокарда левого желудочка
Длительность расслабления миокарда левого желудочка при активации α2-АР (10−9 М) увеличилась в группе здоровых крыс на 51% исходного значения с 0,186±0,021 с до 0,274±0,037 с (p <0,05). В группе ЛО крыс стимуляция α2-АР увеличивала длительность расслабления с 0,164±0,014 с до 0,178±0,02 с, на 8% исходного значения. У крыс с ОИМ активация клонидином гидрохлоридом оказывала разнонаправленное влияние: у части крыс увеличивала длительность расслабления миокарда левого желудочка на 23% с 0,181±0,035 с до 0,223±0,033 с (p <0,01), а у другой части крыс — уменьшала на 25% с 0,24±0,04 с до 0,176±0,03 с (рис. 3, c). Добавление в раствор агониста α2-АР (10−6 М) оказывало разнонаправленное влияние на длительность расслабления миокарда левого желудочка в группе здоровых крыс: у части крыс наблюдали уменьшение на 18% — с 0,157±0,051 с до 0,134±0,057 с (p <0,05), у другой части крыс наблюдали увеличение с 0,231±0,061 с до 0,342±0,08 с (p <0,05) — на 54% исходного значения. У ЛО крыс изучаемый показатель увеличился на 88% с 0,117±0,015 с до 0,202±0,007 с (p <0,01). У крыс с моделью ОИМ длительность расслабления увеличилась на 46% исходного значения с 0,188±0,018 с до 0,275±0,023 с (p <0,01) (рис. 3, d).
Длительность цикла сокращения миокарда левого желудочка
Добавление в раствор агониста α2-АР (10−9 М) увеличивало длительность цикла сокращения в группе здоровых крыс на 33%: с 0,320±0,025 с до 0,417±0,034 с (p <0,05). В группе ЛО крыс длительность цикла сокращения увеличивалась на 5%: с 0,268±0,013 с до 0,281±0,020 с. У крыс с ОИМ активация клонидином гидрохлоридом оказывала разнонаправленное влияние на длительность цикла сокращения изолированного сердца: у части крыс она увеличивалась на 16%: с 0,301±0,046 с до 0,349±0,041 с (p <0,05), а у другой части крыс — уменьшалась на 16%: с 0,329±0,040 с до 0,277±0,027 с (рис. 3, e). Активация α2-АР (10−6 М) вызывала разнонаправленное изменение длительности цикла сокращения миокарда левого желудочка в группе здоровых животных: у части крыс наблюдали уменьшение на 27%: с 0,300±0,083 с до 0,222±0,073 с (p <0,05); у другой части крыс наблюдали увеличение на 32%: с 0,344±0,045 с до 0,450±0,060 с (p <0,05). У ЛО крыс изучаемый показатель увеличился на 43% с 0,226±0,015 с до 0,316±0,009 с (p <0,01). У крыс с моделью ОИМ длительность цикла сокращения увеличилась на 32% с 0,299±0,021 с до 0,391±0,025 с (p <0,01; рис. 3, f).
Таким образом, при активации α2-АР (10−9 М, 10−6 М) выявлены противоположные эффекты в параметрах работы изолированного сердца крыс: увеличение ДРЛЖ и КП изолированного сердца ЛО крыс и крыс с моделью ОИМ, и уменьшение — у здоровых животных. Динамика изменения ЧСС при стимуляции α2-АР (10−9 М) была однонаправленной во всех экспериментальных группах. При добавлении в перфузируемый раствор агониста α2-АР (10−6 М) в группе здоровых крыс наблюдали разнонаправленные изменения ЧСС, в то время как у ЛО крыс и крыс с ОИМ — уменьшение ЧСС. Динамика временных параметров сократимости миокарда левого желудочка при стимуляции α2-АР (10−9 М) была различна в группе с ОИМ, и при концентрации агониста α2-АР (10−6 М) наблюдали разнонаправленные изменения в группе здоровых животных. Стимуляция α2-АР (10−9 М) вызывала уменьшение длительности сокращения и увеличение длительности расслабления, также увеличивалась длительность цикла сокращения миокарда левого желудочка у здоровых и ЛО крыс. В группе крыс с ОИМ наблюдали разнонаправленные изменения данных параметров. Активация α2-АР (10−6 М) не изменяла длительность сокращения миокарда левого желудочка, при этом увеличивала длительность сокращения и длительность цикла сокращения у ЛО крыс и крыс с ОИМ. В группе здоровых животных наблюдали разнонаправленные эффекты.
Обсуждение
ОИМ приводит к значительному снижению сократительной функции миокарда желудочков, связанному с развивающейся ишемией в области окклюзии коронарного сосуда, чувствительностью кардиомиоцитов к изменению транспорта ионов Са2+. Проведённое исследование выявило существенные особенности реакции функций изолированного сердца крыс на стимуляцию α2-АР при моделировании экспериментального ИМ в острой стадии. У здоровых животных агонист α2-АР вызывал уменьшение ДРЛЖ, а у ЛО крыс и крыс с моделью ОИМ оно увеличивалось, причём увеличение ДРЛЖ у крыс с ОИМ было максимальным. α2-АР могут взаимодействовать как с Gi-, так и Gs-белками, запуская различные каскады биохимических реакций. Возможно, что стимуляция α2-АР приводит к активации пресинаптических Gi-связанных α2-АР, приводящей, как следствие, к брадикардии и отрицательному инотропному эффекту в миокарде здоровых животных. Согласно литературным данным, в сердце с ИМ наблюдается адаптивное повышение адренергической регуляции, сопровождающееся повышением концентрации норадреналина в плазме и тканях, нарушается работа саркоплазматического ретикулума и механизмов регуляции уровня Са2+ [19]. Вероятно, что при ИМ изменяется и количество активированных α2-АР в сердце, через которые происходит реализация положительного инотропного эффекта.
Ряд авторов показали высокий уровень хронотропного ответа на стресс у крыс с экспериментальным ИМ через неделю после операции, превышавший данный показатель у здоровых животных [20]. В ранее проведённом исследовании также выявлены существенные особенности исходных значений параметров изолированного сердца крыс с ОИМ: повышение ЧСС и снижение максимальных скоростей сокращения и расслабления, а также ДРЛЖ, по сравнению с контрольными группами [21]. В изолированном сердце с моделью ОИМ наблюдали уменьшение ЧСС в ответ на стимуляцию α2-АР. Возможно, вызываемая агонистом α2-АР брадикардия направлена на увеличение времени диастолического расслабления и уменьшение диастолического напряжения стенки левого желудочка, возникающих после ИМ. Отсутствие разнонаправленного изменения ЧСС при активации α2-АР в группе ОИМ предполагает адаптационные механизмы, необходимые в условиях ишемии и сниженной сократительной активности миокарда левого желудочка. Стимуляция α2-АР у здоровых крыс уменьшала КП в изолированном сердце, указывая на участие α2-АР, располагающихся в гладкомышечных клетках сосудов, и согласуется с данными литературных источников [23]. Однако у ЛО крыс и крыс с моделью ОИМ наблюдали увеличение КП, что свидетельствует о сосудорасширяющем действии α2-АР. Механизм вазодилатации, возникающий в сердце с ИМ, возможно, обусловлен активацией продукции эндотелиальных сосудорасширяющих факторов, прежде всего NO [23]. Длительность сокращения миокарда левого желудочка изменяется разнонаправленно при активации α2-АР у крыс с ОИМ. Возможно, наблюдаемый эффект возникает в результате острого нарушения коронарного кровоснабжения и уменьшения поступления кислорода и питательных веществ в ишемизированный участок миокарда, а также нарастающих изменений в виде мелких рассеянных очагов коагуляционного некроза, дезорганизации клеток, кровоизлияний в миокарде крыс с ОИМ [24]. Увеличение длительности расслабления наблюдалось во всех экспериментальных группах, однако у крыс с ОИМ изучаемый показатель изменялся разнонаправленно. Увеличение длительности расслабления при стимуляции α2-АР, возможно, происходит из-за аномальной обработки Ca2+ с нарушенной транспортной активностью Ca2+-АТФазы, приводящей к снижению поглощения Ca2+ в саркоплазматический ретикулум.
Ограничения исследования
Результаты настоящего исследования следует ограниченно экстраполировать на человека, так как регуляция сердечной деятельности грызунов имеет определённые особенности.
Заключение
Активация α2-АР в группе крыс с ОИМ изменяет направленность динамики ДРЛЖ и КП, уменьшает ЧСС и оказывает разнонаправленное влияние на скоростно-временные характеристики миокарда левого желудочка. Таким образом, полученные результаты изменения функций миокарда левого желудочка у крыс с ОИМ предполагают, что α2-АР участвуют в регуляции инотропной и хронотропной функций и коронарного кровоснабжения, адаптируя деятельность сердца к условиям острой ишемии. Активация α2-АР может запускать различные каскады биохимический реакций, направленных на сохранение работоспособности сердечно-сосудистой системы.
Дополнительная информация
Вклад авторов. А.М. Купцова — проведение эксперимента, анализ и интерпретация результатов исследования, дизайн экспериментальной части исследования, написание текста статьи, статистическая обработка данных, редактирование рукописи; Н.И. Зиятдинова — концепция и дизайн исследования, сбор и обработка материалов, анализ полученных данных, написание текста; А.М. Садыков — проведение эксперимента, анализ результатов экспериментального исследования; Т.Л. Зефиров — концепция и дизайн исследования, сбор и обработка материалов, анализ полученных данных, написание текста. Все авторы одобрили рукопись (версию для публикации), а также согласились нести ответственность за все аспекты настоящей работы, гарантируют надлежащее рассмотрение и решение вопросов, связанных с точностью и добросовестностью любой её части.
Этическая экспертиза. Экспериментальное исследование проведено с соблюдением Европейских конвенций о защите животных, используемых в научных целях (Страсбург, 1986 г.), и одобрено локальным этическим комитетом Федерального государственного автономного образовательного учреждения высшего образования «Казанский (Приволжский) федеральный университет» (Протокол № 39 от 22.12.2022).
Источники финансирования. Работа выполнена за счёт гранта Академии наук Республики Татарстан, предоставленного молодым кандидатам наук (постдокторантам) с целью защиты докторской диссертации, выполнения научно-исследовательских работ, а также выполнения трудовых функций в научных и образовательных организациях Республики Татарстан в рамках Государственной программы Республики Татарстан «Научно-технологическое развитие Республики Татарстан» (грант №25/2024-ПД).
Раскрытие интересов. Авторы заявляют об отсутствии отношений, деятельности и интересов за последние три года, связанных с третьими лицами (коммерческими и некоммерческими), интересы которых могут быть затронуты содержанием статьи.
Оригинальность. При создании настоящей работы авторы не использовали ранее опубликованные сведения (текст, иллюстрации, данные).
Доступ к данным. Все данные, полученные в настоящем исследовании, доступны в статье.
Генеративный искусственный интеллект. При создании настоящей статьи технологии генеративного искусственного интеллекта не использовали.
Рассмотрение и рецензирование. Настоящая работа подана в журнал в инициативном порядке и рассмотрена по обычной процедуре. В рецензировании участвовали два внешних рецензента, член редакционной коллегии и научный редактор издания.
Additional Information
Author contributions: A.M. Kuptsova: investigation, formal analysis, methodology, writing—original draft, data curation, statistical analysis, writing—review & editing; N.I. Ziyatdinova: conceptualization, methodology, formal analysis, writing—original draft; A.M. Sadykov: investigation, formal analysis; T.L. Zefirov: conceptualization, methodology, formal analysis, writing—original draft. All the authors approved the version of the manuscript to be published and agreed to be accountable for all aspects of the work, ensuring that questions related to the accuracy or integrity of any part of the work are appropriately investigated and resolved.
Ethics approval: The experimental study was conducted in compliance with the European Convention for the Protection of Vertebrate Animals Used for Experimental and Other Scientific Purposes (Strasbourg, 1986) and was approved by the Local Ethics Committee of Kazan (Volga Region) Federal University (Protocol No. 39, dated December 22, 2022).
Funding sources: This work was supported by a grant from the Academy of Sciences of the Republic of Tatarstan, awarded to young PhD holders (postdoctoral researchers) for the preparation of doctoral dissertations, scientific research, and fulfillment of professional duties within scientific and educational institutions of the Republic of Tatarstan under the State Program Scientific and Technological Development of the Republic of Tatarstan (Grant No. 25/2024-PD).
Disclosure of interests: The authors have no relationships, activities, or interests for the last three years related to for-profit or not-for-profit third parties whose interests may be affected by the content of the article.
Statement of originality: No previously published materials (text, images, or data) were used in this work.
Data availability statement: All data generated during this study are available in this article.
Generative AI: No generative artificial intelligence technologies were used to prepare this article.
Provenance and peer-review: This paper was submitted unsolicited and reviewed following the standard procedure. The peer-review process involved two external reviewers, a member of the editorial board, and the in-house scientific editor.
About the authors
Anna M. Kuptsova
Kazan (Volga Region) Federal University
Author for correspondence.
Email: anuta0285@mail.ru
ORCID iD: 0000-0002-3592-6589
SPIN-code: 3695-6970
Cand. Sci. (Biology), Assistant Professor
Russian Federation, KazanNafisa I. Ziyatdinova
Kazan (Volga Region) Federal University
Email: nafisaz@mail.ru
ORCID iD: 0000-0002-4503-7451
SPIN-code: 6539-5350
Dr. Sci. (Biology), Professor
Russian Federation, KazanAiziriak M. Sadykov
Kazan (Volga Region) Federal University
Email: samow1995@mail.ru
ORCID iD: 0009-0009-8302-3833
SPIN-code: 2136-1107
Russian Federation, Kazan
Timur L. Zefirov
Kazan (Volga Region) Federal University
Email: zefirovtl@mail.ru
ORCID iD: 0000-0001-9557-1639
SPIN-code: 5267-1350
MD, Dr. Sci. (Medicine), Professor
Russian Federation, KazanReferences
- Brodde OE, Bruck H, Leineweber K, et al. Presence, distribution and physiological function of adrenergic and muscarinic receptor subtypes in the human heart. Basic Res Cardiol. 2001;96:528–538. doi: 10.1007/s003950170003 EDN: LJXFCM
- Kokoz YM, Evdokimovskii EV, Maltsev AV. Upregulation of α2-adrenoceptor synthesis in SHR cardiomyocytes: Recompense without sense — Increased amounts, impaired commands. Arch Biochem Biophys. 2019;674:108109. doi: 10.1016/j.abb.2019.108109 EDN: ABCIEM
- Schlicker E, FeuersteinT. Human presynaptic receptors. Pharmacol. Ther. 2017;172:1–21. doi: 10.1016/j.pharmthera.2016.11.005
- Kaye AD, Chernobylsky DJ, Thakur P, et al. Dexmedetomidine in Enhanced Recovery After Surgery (ERAS) Protocols for Postoperative Pain. Curr Pain Headache Rep. 2020;24:21. doi: 10.1007/s11916-020-00853-z EDN: JFGQSV
- Bilotta F, Pugliese F. The evolving clinical use of dexmedetomidine. Lancet. 2020;396(10245):145–147. doi: 10.1016/s0140-6736(20)30902-8
- Gilsbach R, Hein L. Are the pharmacology and physiology of α2-adrenoceptors determined by α2-heteroreceptors and autoreceptors respectively? Br J Pharmacol. 2011;165(1):90–102. doi: 10.1111/j.1476-5381.2011.01533.x
- Gilsbach R, Schneider J, Lother A, et al. Sympathetic alpha2-adrenoceptors prevent cardiac hypertrophy and fibrosis in mice at baseline but not after chronic pressure overload. Cardiovasc Res. 2010;86(3):432–442. doi: 10.1093/cvr/cvq014 EDN: NZPRLX
- Ziyatdinova NI, Kuptsova AM, Faskhutdinov LI, et al. Effect of α2-Adrenoceptor Stimulation on Functional Parameters of Langendorff-Isolated Rat Heart. Bulletin of Experimental Biology and Medicine. 2018;165(5):593–596. doi: 10.1007/s10517-018-4220-9 EDN: MAUZED
- Zefirov TL, Ziatdinova NI, Khisamieva LI, Zefirov AL. Comparative Analysis of the Impact of α1- and α2-Adrenoreceptor Blockade on Cardiac Function in Rats during Postnatal Ontogeny. Bulletin of Experimental Biology and Medicine. 2011;151(6):664–666. doi: 10.1007/s10517-011-1410-0 EDN: PEELUZ
- Korotaeva YuV, Tsirkin VI. Alpha2-adrenergic receptors of myocardium (Review). Proceedings of THE Komi Science centre of the Ural division of the Russian Academy of Sciences. 2015;2(22):57–64. EDN: TXJHMT
- Zefirov TL, Ziyatdinova NI, Khisamieva LI, Zefirov AL. Effect of α2-Adrenoceptor Stimulation on Cardiac Activity in Rats. Bulletin of Experimental Biology and Medicine. 2014;157(2):194–197. doi: 10.1007/s10517-014-2523-z EDN: UEJENT
- Kuptsova AM, Zaripova RI, Hisamieva LI, et al. Yohimbine influence on myocardium contractile activity among newborn rats. International Journal of Advanced Biotechnology and Research. 2016;7(4):1305–1309.
- Nahrendorf M, Wiesmann F, Hiller KH, et al. Serial cine-magnetic resonance imaging of left ventricular remodeling after myocardial infarction in rats. J Magn Reson Imaging. 2001:14(5):547–555. doi: 10.1002/jmri.1218
- Pimenov OY, Galimova MH, Evdokimovskii EV, et al. Myocardial α2-Adrenoceptors as Therapeutic Targets to Prevent Cardiac Hypertrophy and Heart Failure. Biophysics. 2019;64(5):917–932. doi: 10.1134/S0006302919050120 EDN: THCLQM
- Cai JJ, Morgan DA, Haynes WG, et al. Alpha2-Adrenergic stimulation is protective against ischemia-reperfusion-induced ventricular arrhythmias in vivo. Am J Physiol Heart Circ Physiol. 2002;283(6):H2606–2611. doi: 10.1152/ajpheart.00156.2002
- Yoshikawa Y, Hirata N, Kawaguchi R, et al. Dexmedetomidine maintains its direct cardioprotective effect against ischemia/reperfusion injury in hypertensive hypertrophied myocardium. Anesthesia and Analgesia. 2018;126(2):443–452. doi: 10.1213/ANE.0000000000002452 EDN: VIAJTN
- Takahashi K, Yoshikawa Y, Kanda M, et al. Dexmedetomidine as a cardioprotective drug: a narrative review. Journal of Anesthesia. 2023;37:961–970. doi: 10.1007/s00540-023-03261-w EDN: ONEYNT
- Kuptsova AM, Bugrov RK, Khabibrakhmanov II, et al. Role of α2-adrenoceptors in Rat Heart with the Model of myocardial Infarction. J Chem Health Risks. 2021;11(2):129–134. doi: 10.22034/jchr.2021.682031 EDN: GUPDYB
- Mill JG, Stefanon I, Santos L, Baldo MP. Remodeling in the ischemic heart: the stepwise progression for heart failure. Brazilian Journal of Medical and Biological Research. 2011;44(9):890–898. doi: 10.1590/S0100-879X2011007500096
- Grin VK, Konoplyanko VA, Mikhailichenko VYu. Peculiarities of chronotropic response to the stress in rats with a model of myocardial infarction. Vestnik neotlozhnoy i vosstanovitel'noy meditsiny. 2006;7(1):102–104.
- Kuptsova AM, Bugrov RK, Ziyatdinova NI, Zefrov TL. Langendorff-Isolated Rat Heart after Acute Еxperimental Myocardial Infarction. Вulletin of Experimental Biology and Medicine. 2022;173(6):719–722. doi: 10.1007/s10517-022-05623-y EDN: ANEHGK
- Kuptsova AM, Bugrov RK, Ziyatdinova NI, Zefirov TL. Peracute Myocardial Infarction: Features of the Influence of α2-Adrenoreceptor Stimulation on the Isolated Heart. Вulletin of Experimental Biology and Medicine. 2024;176(3):315–320. doi: 10.1007/s10517-024-06015-0 EDN: HFBNXC
- Kozlovskiy VI. The role of endothelium in vasodilation mediated by different subtypes of adrenoceptors. Journal of the Grodno state medical university. 2010;1:32–35. EDN: QAVKED
- Nikulina NA, Dotsenko EA, Nerovnya AM, et al. Experimental myocardial infarction in rats: features of modeling and course within the first 48 hours after coronary artery ligation. Problems of health and ecology. 2020;2(64):91–96. doi: 10.51523/2708-6011.2020-17-2-13 EDN: YFXOSR
Supplementary files





