Characteristics of patients with coronary artery disease and type 2 diabetes mellitus undergoing elective percutaneous coronary intervention
- Authors: Neeshpapa A.G.1, Karetnikova V.N.1,2
-
Affiliations:
- Research Institute for Complex Issues of Cardiovascular Diseases
- Kemerovo State Medical University
- Issue: Vol 16, No 2 (2025)
- Pages: 115-126
- Section: Original study articles
- Submitted: 01.03.2025
- Accepted: 04.06.2025
- Published: 11.08.2025
- URL: https://cardiosomatics.ru/2221-7185/article/view/676532
- DOI: https://doi.org/10.17816/CS676532
- EDN: https://elibrary.ru/IVCKLX
- ID: 676532
Cite item
Full Text
Abstract
BACKGROUND: Patients with coronary artery disease (CAD) and type 2 diabetes mellitus (T2DM) represent a distinct group at high cardiovascular risk. Up-to-date information on their management in real-world clinical practice may help identify gaps in care.
AIM: The work aimed to characterize the clinical profile of patients with CAD and T2DM, examine associations with cardiovascular risk factors, and evaluate the adequacy of pharmacotherapy.
METHODS: This study included 50 patients who were electively hospitalized for percutaneous coronary intervention (PCI). Sex, age, and clinical history were recorded, along with anthropometric data. Laboratory parameters included total cholesterol, serum creatinine, blood glucose, and glycated hemoglobin levels. Instrumental assessments included left ventricular ejection fraction by echocardiography and the extent of coronary artery lesions by coronary angiography. Based on these data, a patient profile was constructed, and the adequacy of ongoing pharmacotherapy was evaluated by comparison with data from 2022 in Kemerovo.
RESULTS: Pharmacologic therapy at the time of hospitalization was not optimal in all cases: some patients were not receiving drug classes recommended in standard treatment protocols, and inadequate control of key cardiovascular risk factors was observed (as in the previous study). Target levels of total cholesterol were achieved in only 30 patients (60%), and target levels of glycated hemoglobin in only 26%. Active smoking was reported in 48% of patients, and obesity was observed in 68%.
CONCLUSION: Preparing patients with both CAD and T2DM for elective PCI requires a comprehensive approach to risk factor management. Patients with T2DM undergoing elective PCI often do not receive optimal pharmacologic therapy or achieve adequate control of modifiable risk factors, which warrants close attention and timely correction.
Full Text
Обоснование
Ишемическая болезнь сердца (ИБС) — основная причина заболеваемости и смертности во всём мире [1]. Большая часть всех пациентов с ИБС имеют симптомы стенокардии. Полноценная медикаментозная терапия в сочетании с модификацией образа жизни — первоочередная рекомендация для всех пациентов со стабильной ИБС. К оптимальной медикаментозной терапии относят комбинацию лекарственных препаратов, действие которых направлено на увеличение продолжительности жизни и улучшение её качества в виде уменьшения или прекращения приступов стенокардии с увеличением толерантности к нагрузкам, профилактике инфаркта миокарда (ИМ) и хронической сердечной недостаточности. К современным препаратам, решающим указанные задачи, относят β-блокаторы, статины, антиагреганты, а также ингибиторы ангиотензинпревращающего фермента (иАПФ) или блокаторы рецепторов ангиотензина II (БРА), считается допустимым добавление в терапию блокаторов кальциевых каналов [2]. В качестве принципиально важного для прогноза жизни лечебного подхода рассматривается реваскуляризация миокарда, в частности чрескожное коронарное вмешательство (ЧКВ) — малоинвазивный метод хирургического лечения ИБС [3]. Выполнение ЧКВ параллельно с принимаемой оптимальной медикаментозной терапией приводит к уменьшению частоты возникновения приступов стенокардии, что улучшает качество жизни пациентов и увеличивает её продолжительность в связи с профилактикой фатальных осложнений [4].
Из-за изменений в образе жизни и старения населения распространённость сахарного диабета 2-го типа (СД 2) растёт во всём мире. Согласно данным статистики Международной диабетической федерации, на 2021 г. 537 млн взрослых людей имели установленный диагноз СД. Ожидается, что к 2045 г. это число возрастёт до 783 млн, что неминуемо будет сопровождаться глобальным увеличением бремени для здравоохранения во всех странах [5]. Зачастую для СД 2 специфично длительное бессимптомное течение ИБС, что ведёт к запоздалому началу терапии и развитию сердечно-сосудистых осложнений [6], от которых в последующем умирают большинство пациентов (до 75–80%) [7]. Важно отметить, что для ИБС и СД 2 свойственны схожие механизмы патогенетического развития, включающие хронический воспалительный процесс, окислительный стресс, а также некоторые факторы риска (ФР) в виде дислипидемии, артериальной гипертензии (АГ), ожирения и инсулинорезистентности [8]. Известно, что в случае сочетания ИБС и СД повышаются риски развития неблагоприятных исходов. В связи с этим пациенты с одномоментным наличием этих патологий попадают в группу высокого сердечно-сосудистого риска, что повышает как минимум на 20% вероятность развития неблагоприятных сердечно-сосудистых событий в течение ближайших 10 лет и требует комплексного подхода к снижению вероятности наступления этих событий [9]. Учитывая описанные риски, пациенты с установленными диагнозами ИБС и СД 2, подвергающиеся плановому ЧКВ, представляют особый интерес в контексте понимания полноценности предоперационной терапии и возможной коррекции модифицируемых ФР. Кроме того, достижение целевых показателей уровня гликемии особенно важно для этой категории пациентов (согласно рекомендациям Европейского общества кардиологов от 2023 г. по лечению сердечно-сосудистых заболеваний у пациентов с СД): в первую очередь предлагается делать выбор в пользу гипогликемических средств, отвечающих требованиям безопасности и с доказанными положительными эффектами для сердечно-сосудистой системы — агонистам рецепторов глюкагоноподобного пептида 1-го типа и ингибиторам натрий-глюкозного котранспортера 2-го типа (иНГЛТ2). К следующим препаратам выбора относятся те, что обладают доказанной безопасностью в отношении сердечно-сосудистой системы: метформин, пиоглитазон, ингибиторы дипептидилпептидазы-4 (за исключением саксаглиптина при сердечной недостаточности), глимепирид, гликлазид, инсулин деглудек, ликсисенатид, эксенатид (пролонгированного действия) [10]. Актуальным является современный анализ проводимой сахароснижающей терапии пациентам с ИБС и СД 2, которым выполняется ЧКВ. Несмотря на достаточно высокую распространённость данных заболеваний и широкую доступность информации о ФР и их влиянии на сердечно-сосудистое здоровье, по-прежнему существуют проблемы в тактике ведения, что говорит о разрыве между имеющимися данными и их применением в клинической практике.
Цель исследования — охарактеризовать клинический профиль, соответствующий пациентам с установленными ИБС и СД 2, определить ассоциации ФР, оценить полноценность медикаментозной терапии, актуализировать динамику полноценности принимаемой терапии в сравнении с 2022 г. в г. Кемерово.
Материалы и методы
Дизайн исследования
Проведено одноцентровое проспективное исследование с включением 50 человек с установленными диагнозами ИБС и СД 2, в плановом порядке госпитализированными с целью проведения ЧКВ со стентированием в клинику.
Критерии соответствия
Критерии включения: установленный диагноз СД 2, ИБС с гемодинамически значимым поражением коронарных артерий и показаниями для планового ЧКВ со стентированием, отсутствие показаний к коронарному шунтированию, отсутствие клапанных пороков сердца, требующих оперативной коррекции, отсутствие обострения сопутствующей хронической патологии.
Критерии исключения: отказ пациента от участия в исследовании, показания для коронарного шунтирования или оперативной коррекции пороков клапанов сердца, обострение хронической сопутствующей патологии.
Условия и продолжительность исследования
Исследование проводили с 01.01.2024 по 31.12.2024 на базе Научно-исследовательского института комплексных проблем сердечно-сосудистых заболеваний.
Описание медицинского вмешательства
Все включённые в исследование пациенты подписали добровольное информированное согласие, одобренное локальным этическим комитетом учреждения. У пациентов оценивали следующие параметры: половозрастная характеристика, антропометрические данные (рост, вес), наличие перенесённого ИМ в анамнезе, наличие фибрилляции предсердий, функциональный класс стенокардии, статус курения, наличие фоновых и сопутствующих патологий: АГ, ожирение, хроническая болезнь почек; лабораторные параметры [глюкоза, гликированный гемоглобин (HbA1c) и общий холестерин с оценкой достижения целевых показателей, креатинин], характер поражения коронарного русла (1, 2, 3-трёхсосудистое); фракция выброса левого желудочка (ФВЛЖ). Всем пациентам выполнялось ЧКВ с имплантацией стентов, в последующем они наблюдались в период госпитального этапа.
Анализ в группах
В основную группу, необходимую для описательной статистической обработки данных, отвечающей цели исследования, включены 50 человек. Далее выполнен анализ групп, разделённых по принципу половой принадлежности, достижения/недостижения целевых уровней HbA1c и холестерина, проанализированы ассоциации прочих ФР внутри основной группы.
Методы регистрации исходов
Содержание HbA1c в цельной крови определяли иммунотурбидиметрическим методом с использованием биохимического анализатора Konelab 30i (Thermo Fisher Scientific, Финляндия). Измерение концентрации глюкозы в плазме крови выполняли гексокиназным методом, определение общего холестерина в сыворотке крови выполнялось колориметрическим ферментативным методом (анализатор Konelab 30i). ФВЛЖ (Симпсон) определяли при выполнении эхокардиографии на аппарате GE VIVID T8 (General Electric, США) по стандартной методике. Скорость клубочковой фильтрации (СКФ) рассчитывали при помощи медицинского калькулятора по стандартной формуле1. Также у всех пациентов рассчитан коэффициент гипергликемии: глюкоза натощак (ммоль/л) / [1,59 × HbA1c (%) − 2,59] [11]. Индекс массы тела (ИМТ) рассчитывали по стандартной формуле: [вес (кг) / рост2 (см)] и интерпретировали в соответствии с рекомендациями Всемирной организации здравоохранения [12].
Этическая экспертиза
Исследование одобрено локальным этическим комитетом Научно-исследовательского института комплексных проблем сердечно-сосудистых заболеваний, выписка из протокола №10 заседания локального этического комитета от 23.12.2022. Постановление: одобрить проекты тематик научных исследований, включаемых в планы научных работ научных организаций и образовательных организаций высшего образования, осуществляющих научные исследования за счёт средств федерального бюджета (поисковые научные исследования) за период 2023−2025 г.: управление рисками, ассоциированными с коморбидностью, у пациентов с болезнями системы кровообращения на основе применения инновационных лечебно-диагностических и реабилитационных медицинских технологий.
Статистическая обработка
Размер выборки предварительно не рассчитывали. Статистический анализ выполнен при помощи программы StatTech v. 4.7.2 (ООО «Статтех», Россия). Нормальность распределения количественных данных определяли с помощью критерия Шапиро−Уилка. В том случае, когда распределение было отнесено к нормальному, показатели в статье представляли при помощи средних арифметических величин (M) со стандартным отклонением (SD), с указанием границ 95% доверительного интервала (ДИ). Если распределение не относилось к нормальному, данные представлялись в виде медианы (Me) с указанием квартилей [Q1; Q3]. Категориальные данные описывали с указанием долей в процентах и абсолютных значений. Сравнение двух групп по количественному показателю проводили с помощью t-критерия Стьюдента в случае соответствия нормальному распределению показателей в каждой из групп (при условии равенства дисперсий). Однофакторный дисперсионный анализ проводили при сравнении трёх и более групп по количественному показателю (распределение в каждой из групп относилось к нормальному), апостериорные сравнения выполняли при помощи критерия Тьюки (при условии равенства дисперсий). В случае распределения количественных данных, отличного от нормального, использовали U-критерий Манна−Уитни. Анализ четырёхпольных таблиц сопряжённости со сравнением процентных долей выполняли с использованием точного критерия Фишера (в том случае, когда значения минимального ожидаемого явления составляли <10). Расчёт отношения шансов с 95% ДИ применяли в качестве количественной меры эффекта при сравнении относительных показателей. С целью оценки дискриминационной способности количественных признаков при прогнозировании типа исхода использовали метод анализа ROC-кривых: с помощью наивысшего значения индекса Юдена определяли разделяющее значение количественного признака в точке cut-off. Многофакторный регрессионный анализ с пошаговым методом включения использовали для выявления наиболее значимых связей и их типа, оценивали β-коэффициент, коэффициент детерминации (R2). Все различия принимали как статистически значимые в случае значения p <0,05.
Результаты
Участники (объекты) исследования
Клинико-анамнестическая характеристика пациентов, включённых в исследование, представлена в табл. 1 и 2.
Таблица 1. Клинико-анамнестическая характеристика пациентов (количественные параметры) Table 1. Clinical and anamnestic characteristics of patients (quantitative parameters) | |||||
Показатель | Me | Q1; Q3 | n | Min | Max |
Возраст, лет, Me | 67,0 | 50 | 38,0 | 83,0 | |
Индекс массы тела, кг/м2, M±SD | 32,67±5,81 | 31,01–34,32 | 50 | 21,3 | 48,1 |
Глюкоза, ммоль/л, M±SD | 6,79±2,13 | 6,19–7,40 | 50 | 4,0 | 12,0 |
Креатинин, мкмоль/л, Me | 86,0 | 50 | 58,0 | 163,0 | |
Скорость клубочковой фильтрации, мл/мин/1,73м2, M±SD | 69,97±19,35 | 64,47–75,47 | 50 | 28,0 | 111,0 |
Гликированный гемоглобин, %, Me | 6,4 | 50 | 4,8 | 10,8 | |
Холестерин, ммоль/л, Me | 3,8 | 50 | 1,7 | 7,2 | |
Фракция выброса левого желудочка, %, Me | 57,0 | 50 | 34,0 | 75,0 | |
Коэффициент гипергликемии, M±SD | 0,85±0,17 | 0,80–0,90 | 50 | 0,5 | 1,4 |
Таблица 2. Клинико-анамнестическая характеристика пациентов (качественные параметры) Table 2. Clinical and anamnestic characteristics of patients (qualitative parameters) | ||||
Показатели | Категории | n | % | 95% ДИ |
Пол | муж жен | 29 21 | 58,0 42,0 | 43,2–71,8 28,2–56,8 |
Артериальная гипертензия | Наличие | 50 | 100,0 | 92,9–100,0 |
Сахарный диабет | Наличие | 50 | 100,0 | 92,9–100,0 |
Функциональный класс стенокардии | I II III | 10 25 15 | 20,0 50,0 30,0 | 10,0–33,7 35,5–64,5 17,9–44,6 |
Курение | Нет Да | 26 24 | 52,0 48,0 | 37,4–66,3 33,7–62,6 |
Ожирение | Отсутствие Наличие | 16 34 | 32,0 68,0 | 19,5–46,7 53,3–80,5 |
Хроническая болезнь почек (стадии) | Отсутствие С1 С2 С3а С3б | 10 2 20 16 2 | 20,0 4,0 40,0 32,0 4,0 | 10,0–33,7 0,5–13,7 26,4–54,8 15,5–46,7 0,5–3,7 |
Достижение целевого уровня гликированного гемоглобина | да нет | 13 37 | 26 74 | 13,3–38,9 61,1–86,7 |
Приём антиагрегантов | Отсутствие Наличие | 4 46 | 8,0 92,0 | 2,2–9,2 80,8–97,8 |
Приём β-блокатора | Отсутствие Наличие | 10 40 | 20,0 80,0 | 10,0–33,7 66,3–90,0 |
Приём ингибиторов ангиотензинпревращающего фермента / блокаторов рецепторов ангиотензина II | Отсутствие Наличие | 5 45 | 10,0 90,0 | 3,3–21,8 78,2–96,7 |
Приём статинов | Отсутствие Наличие | 7 43 | 14,0 86,0 | 5,8–26,7 73,3–94,2 |
Приём ингибиторов натрий-глюкозного котранспортера 2-го типа | Отсутствие Наличие | 11 39 | 22,0 78,0 | 11,5–36,0 64,0–88,5 |
Приём агонистов глюкогоноподобного пептида 1-го типа | Отсутствие Наличие | 48 2 | 96,0 4,0 | 86,3–99,5 0,5–13,7 |
Приём производных сульфонилмочевины (II поколение) | Отсутствие Наличие | 36 14 | 72,0 28,0 | 57,5–83,8 16,2–42,5 |
Приём ингибиторов дипептидилпептидазы-4 | Отсутствие Наличие | 45 5 | 90,0 10,0 | 78,2–96,7 3,3–21,8 |
Приём бигуанидов | Отсутствие Наличие | 33 17 | 66,0 34,0 | 51,2–78,8 21,2–48,8 |
Инъекции инсулина | Отсутствие Наличие | 44 6 | 88,0 12,0 | 75,7–95,5 4,5–24,3 |
Приём пероральных сахароснижающих препаратов | Наличие | 50 | 100,0 | 92,9–100,0 |
Поражение коронарного русла | Однососудистое Двухсосудистое Трёхсосудистое | 13 11 26 | 26,0 22,0 52,0 | 14,6–40,3 11,5–36,0 37,4–66,3 |
Целевые уровни холестерина | Отсутствие Наличие | 20 30 | 40,0 60,0 | 26,4–54,8 45,2–73,6 |
Фибрилляция предсердий | Отсутствие Наличие | 41 9 | 82,0 18,0 | 68,6–91,4 8,6–31,4 |
Постинфарктный кардиосклероз | Отсутствие Наличие | 21 29 | 42,0 58,0 | 28,2–56,8 43,2–71,8 |
При дальнейшем анализе ФР внутри выборки выявлены следующие ассоциации. Активное курение достоверно чаще встречалось у мужчин [22 (44%) пациентов] по сравнению с женщинами [2 (4%)], р <0,001. Курящие соответствовали более молодому возрасту 59,79±9,23 года (95% ДИ 55,90–63,69), чем некурящие: 69,27±8,55 года (95% ДИ 65,81–72,72); р <0,001. Уровень глюкозы натощак у курящих пациентов был выше — 7,52±2,52 ммоль/л (95% ДИ 6,46–8,58) по сравнению с некурящими: 6,12±1,44 ммоль/л (95% ДИ 5,54–6,705), р=0,022. Лица с достигнутым целевым уровнем HbA1c (n=13) характеризовались более низкими значениями ИМТ: 28,90±3,32 кг/м2 (95% ДИ 26,79–31,01) в отличие от пациентов с уровнем HbA1c, выходящим за пределы целевого диапазона (n=27): ИМТ сос-тавил 34,15±5,75 кг/м2 (95% ДИ 32,23–36,07), р=0,004 (рис. 1).
Рис. 1. Показатели индекса массы тела в зависимости от достижения целевого HbA1c. HbA1c — гликированный гемоглобин.
Fig. 1. Body mass index indicators depending on the achievement of the target HbA1c. HbA1c — glycated hemoglobin.
При выполнении ROC-анализа выявлена ассоциация между достигнутым уровнем HbA1c и более низкими значениями ИМТ (рис. 2, 3).
Рис. 2. ROC-кривая, характеризующая дискриминационную способность индекса массы тела при прогнозировании достижения целевого уровня гликированного гемоглобина.
Fig. 2. ROC is a curve that characterizes the discriminatory ability of the body mass index in predicting the achievement of the target level of glycated hemoglobin.
Рис. 3. Анализ чувствительности и специфичности модели в зависимости от пороговых значений оценок вероятности достижения целевого уровня гликированного гемоглобина.
Fig. 3. Analysis of the sensitivity and specificity of the model depending on the threshold values of estimates of the probability of achieving the target level of glycated hemoglobin.
Значение ИМТ <31,7 кг/м2 (пороговое значение ИМТ в точке cut-off с наивысшим значением индекса Юдена) — статистически значимый предиктор достижения целевого уровня HbA1c (AUC 0,800; чувствительность 83,3%, специфичность 67,6%, 95% ДИ 0,671–0,928, p=0,002).
Уровень общего холестерина у пациентов с достигнутым целевым уровнем HbA1c (n=12) значительно ниже [3,10 ммоль/л (2,55–3,60)], при сравнении с группой лиц (n=37), характеризующихся уровнем HbA1c вне целевого диапазона [холестерин — 4,0 ммоль/л (3,30–5,20); р=0,011].
Женщины (n=21) в исследуемой группе соответствовали более старшему возрасту [69,29±7,71 года (95% ДИ 65,77–72,80)] по сравнению с мужчинами (n=29): 61,41±10,29 года (95% ДИ 57,50–65,33); р=0,005. СКФ у женщин достоверно ниже [60,47±16,45 мл/мин/1,73м2 (95% ДИ 52,99–67,96)] по сравнению с мужчинами [76,84±18,60 мл/мин/1,73м2 (95% ДИ 69,77–83,91); р=0,002]. Также установлено, что женщины отличались более высокими показателями холестерина [4,52±1,36 ммоль/л (95%ДИ 3,90–5,14)] по сравнению с мужчинами [3,73±1,18 ммоль/л (95% ДИ 3,29–4,18); р=0,035]. С целью определения вклада других факторов в изменение уровня холестерина выполнен множественный регрессионный анализ с пошаговым методом включения: при включении в модель таких факторов, как поражение коронарного русла, пол, возраст, статус курения, наличие ИМ анамнезе, ИМТ, уровень HbA1c, креатинин, принимаемые лекарственные препараты, выявлена слабая положительная связь с женским полом (β-коэффициент 0,78, стандартная ошибка 0,36; p=0,034), коэффициент детерминации (R2) составил 0,09, значение постоянной (коэффициент) — 2,9; р=0,03, остальные факторы не показали своей значимости.
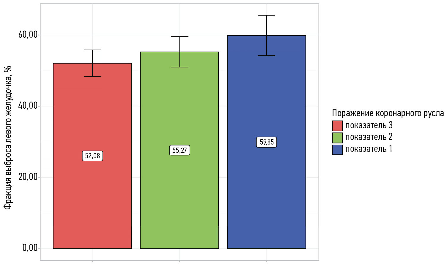
При анализе значений ФВЛЖ в зависимости от объёма поражения коронарного русла (табл. 3) установлены статистически значимые различия (p=0,041; используемый метод — F-критерий Фишера), демонстрирующие ассоциацию более низкой ФВЛЖ с множественным поражением коронарного русла (рис. 4).
Таблица 3. Анализ значений фракции выброса левого желудочка в зависимости от объёма поражения коронарного русла Table 3. Analysis of the values of the left ventricular ejection fraction depending on the volume of damage to the coronary bed | |||||
Показатель | Категории | Фракция выброса левого желудочка | p | ||
M±SD | 95% ДИ | n | |||
Поражение коронарного русла | Трёхсосудистое (3) | 52,08±9,31 | 48,32–55,84 | 26 | 0,041* p (показатель 1 – показатель 3) = 0,032 |
Двухсосудистое (2) | 55,27±6,34 | 51,01–59,53 | 11 | ||
Однососудистое (1) | 59,85±9,32 | 54,22–65,48 | 13 | ||
Примечание. * Различия показателей статистически значимы (p <0,05). | |||||
Рис. 4. Анализ значений фракции выброса левого желудочка в зависимости от объёма поражения коронарного русла. * Показатель 1 — однососудистое поражение коронарного русла, показатель 2 — двухсосудистое поражение коронарного русла, показатель 3 — трёхсосудистое поражение коронарного русла.
Fig. 4. Analysis of the values of the left ventricular ejection fraction depending on the volume of damage to the coronary bed. * Indicator 1 — a single-vessel lesion of the coronary bed, indicator 2 — a two-vessel lesion of the coronary bed, indicator 3 — a triple-vessel lesion of the coronary bed.
С целью определения вклада других факторов в изменение ФВЛЖ выполнен множественный регрессионный анализ с пошаговым методом включения: при включении в модель таких факторов, как поражение коронарного русла, пол, возраст, статус курения, наличие ИМ в анамнезе, наличие фибрилляции предсердий, ИМТ, уровень HbA1c, холестерин, креатинин, принимаемые лекарственные препараты, выявлена положительная ассоциация ФВЛЖ с приёмом иНГЛТ2 (β-коэффициент 9,5, стандартная ошибка 3,8; p=0,01) и отрицательная ассоциация с поражением коронарного русла (β-коэффициент (-)3,7, стандартная ошибка 1,3; р=0,009), коэффициент детерминации (R2) составил 0,225, значение постоянной (коэффициент) — 62,3; р=0,0025.
При анализе особенностей проводимой сахароснижающей терапии установлено, что лица с перенесённым ИМ / постинфарктным кардиосклерозом (ПИКС) в анамнезе чаще принимали иНГЛТ2 — 26 (66,7%) против 13 пациентов (33,3%) без перенесённого ИМ (рис. 5). Выявлено, что вероятность отсутствия в терапии препаратов группы иНГЛТ2 у лиц без ПИКС выше в 5,3 раза в сравнении с пациентами с ИМ в анамнезе, различия шансов статистически значимы (95% ДИ 1,209–23,536).
Рис. 5. Анализ приема иНГЛТ2 в зависимости от наличия постинфарктного кардиосклероза.
Fig. 5. Analysis of SGLT2 inhibitors intake depending on the presence of postinfarction cardiosclerosis.
Следует отметить, что ПИКС достоверно чаще выявлен у лиц мужского пола [22 (75,9%) пациентов)], у женщин ПИКС присутствовал в 7 (33,3%; р=0,004) случаях. В группе без перенесённого ИМ в анамнезе вероятность принадлежности к мужскому полу оказалась меньше в 6,286 раза по сравнению с больными ПИКС, различия шансов статистически значимы (отношение шансов 0,159; 95% ДИ 0,046–0,552).
Обсуждение
Cердечно-сосудистые заболевания — доминирующая причина смертности населения по всему миру. При этом около 30% смертей (что составляет около 247,9 на 100 тыс. человек в год) являются следствием осложнений ИБС. Данные систематических обзоров демонстрируют, что курение, гипертоническая болезнь, СД, ожирение и дислипидемия относятся к самым распространённым факторам риска ИБС [13]. Несмотря на то что у всех пациентов, вошедших в исследование, до момента поступления установлены диагнозы ИБС и СД 2, достижение целевых значений общего холестерина отмечалось лишь у 60%, а целевых уровней HbA1c — только у 26%. Практически половина пациентов (48%) были курящими, а ожирение наблюдалось у 68% выборки (средние значения ИМТ составили 32,67 кг/м2), АГ присутствовала в анамнезе у всех (100%) пациентов. В сравнении с предыдущим подобным исследованием, проведённым на базе НИИ КПССЗ г. Кемерово 2021–2022 гг., выросла распространённость курения (ранее 22%), ожирения (ранее 55%) [14]. При этом избыточный вес и ожирение — одни из ключевых факторов риска для пациентов с ИБС и СД. Снижение массы тела даже на 5–10% от первоначальной весьма эффективно не только для улучшения метаболического контроля, но и для снижения риска сердечно-сосудистых событий [15]. ИБС и СД значительно повышают риск развития неблагоприятных сердечно-сосудистых эпизодов, на основании этого контроль над модифицируемыми ФР в виде уровня общего холестерина, достижения целевых показателей артериального давления, уровня HbA1c и курения становится принципиально важным, особенно перед выполнением планового ЧКВ. Согласно современным рекомендациям, достижение контролируемых уровней холестерина и HbA1c у пациентов с ИБС и СД ассоциируется со значительным снижением сердечно-сосудистых рисков [16]. Существуют данные, что поддержание HbA1c в диапазоне 6–8% у пациентов с СД существенно снижает риск сердечно-сосудистых осложнений [17].
Следует отметить, что в проведённом исследовании все пациенты принимали гипогликемическую терапию (100% выборки — таблетированные формы сахароснижающих препаратов и 12% получали в дополнение инсулин). Самой часто назначаемой группой препаратов являлись иНГЛТ2 (их принимали 78% пациентов), при этом нельзя не отметить выявленную положительную тенденцию в виде достаточно частого применения в терапии иНГЛТ2 (66,6% из вышеуказанных 78%) у лиц с перенесённым ИМ. Следующие по частоте приёма группы — бигуаниды (34%) и препараты сульфонилмочевины II поколения (28%). В сравнении с предыдущим исследованием в г. Кемерово отмечается положительная динамика: ранее показано, что 14% пациентов не принимали сахароснижающих препаратов, иНГЛТ2 применялись лишь 19%, при этом самыми назначаемыми для такой категории пациентов были препараты сульфонилмочевины I поколения и бигуаниды [14]. Как и в текущем исследовании, отмечалось, что терапия ИБС не всегда оптимальна: приём β-блокаторов присутствовал в 90% случаев, иАПФ – в 89%, статинов – в 89% [14]. В нашем исследовании β-блокаторы не получали 20% пациентов, иАПФ не были назначены в 10% случаев, 8% пациентов не принимали антиагреганты, статины в терапии отсутствовали в 14% (эти препараты не были назначены на амбулаторном этапе наблюдения). Таким образом, прослеживается тенденция неполноценности предоперационной терапии ИБС.
Среди включённых в исследование пациентов достижение целевых уровней общего холестерина отмечалось только у 30 человек (60%), а HbA1c — всего у 13 пациентов (26%). Согласно исследованию В.Н. Каретникова и соавт. (2022 г.), недостаточный контроль показателей гликемии значительно увеличивает риск неблагоприятных сердечно-сосудистых исходов после ЧКВ у такой категории пациентов в течение года после стентирования [18]. Исследование J. Critchley и соавт. (2019 г.) продемонстрировало, что HbA1c имеет значимую связь и точную прогностическую ценность при оценивании риска смерти и госпитализации у пациентов с ИБС и СД [19].
Согласно результатам нашего исследования, отмечается прямая взаимосвязь между показателями ИМТ и уровнем HbA1c. Литературные данные о взаимосвязи ИМТ и уровня HbA1c показывают следующие результаты: более низкий показатель ИМТ положительно влияет на уровень HbA1c у людей, не страдающих диабетом [20]; литературный обзор исследований T. Kennedy-Martin и соавт. (2021 г.), проведённых в разных странах, продемонстрировал положительную корреляцию более высокого ИМТ с худшим гликемическим контролем в целом и более высоким уровнем HbA1с в частности у пациентов, страдающих СД 2 [21].
По нашим данным уровень общего холестерина у пациентов с достигнутым целевым HbA1c значительно ниже по сравнению с группой вне целевого диапазона. Недавнее исследование S. Thapa и соавт. (2023 г.) указывает на взаимосвязь между уровнем холестерина и HbA1c у пациентов с ИБС и СД 2: наблюдалась положительная корреляция между HbA1c и уровнем общего холестерина, а также липопротеинами низкой плотности, что в очередной раз подчёркивает важность достижения целевого уровня липидов для улучшения гликемического контроля [22]. Аналогичным образом в исследовании Z. Wahab и соавт. (2021 г.) уровень HbA1c показал положительную корреляцию с общим уровнем холестерина и липопротеинами низкой плотности и отрицательную корреляцию с липопротеинами высокой плотности [23].
В нашем исследовании отмечены более высокие показатели уровня общего холестерина и более низкие значения СКФ у женщин, что, вероятно, объясняется бóльшим возрастом пациенток, вошедших в исследование, что также статистически значимо при выполнении сравнительных методов анализа, однако возраст не оказался значимым фактором по данным множественной регрессии. Данные о том, что мужчины склонны к ИБС в более молодом возрасте, сопоставимы с литературными [24].
Согласно полученным данным, более низкая ФВЛЖ имела ассоциацию с бóльшим объём поражения коронарного русла, а более высокая фракция ассоциировалась с приёмом иНГЛТ2. В исследовании G. Zhan и соавт. (2013 г.) также продемонстрирована значительная связь между снижением ФВЛЖ и тяжестью ИБС: пациенты с многососудистым поражением коронарных артерий чаще обладают более низкой ФВЛЖ и составляют группу высокого риска развития неблагоприятных сердечно-сосудистых событий и смерти [25, 26]. Положительная роль иНГЛТ2 в процессах обратного ремоделирования сердца и повышении ФВЛЖ продемонстрирована в недавнем метаанализе [27].
В нашем исследовании лица мужского пола в анамнезе достоверно чаще имели перенесённый ИМ. Другие исследования также показывают, что мужчины в целом чаще страдают от ИМ по сравнению с женщинами: S. Suman и соавт. (2023 г.) сообщают о том, что вероятность инфаркта у мужчин в 3–4 раза выше [28]; С.А. Шальнова и соавт. (2022 г.) в многоцентровом исследовании, проведённом в 11 регионах России, демонстрируют, что распространённость ИМ среди населения российских регионов составила 2,9–5,2% среди мужчин и 1,5% среди женщин с тенденцией возрастания с увеличением возраста [29].
В нашем исследовании курение среди мужчин значительно более распространено по сравнению с женщинами. Также выявлено, что у курильщиков уровень гликемии натощак выше, чем у некурящих пациентов. Известно, что и курение, и СД способствуют развитию воспаления, окислительного стресса, вызывая повреждение эндотелия, способствуя образованию атером [30]. Курение относится к важному модифицируемому фактору-триггеру развития СД. Под воздействием сигаретного дыма происходит повреждение сосудов, инициируется дисфункция эндотелия с активацией каскада свёртывания крови, нарушения гомеостаза глюкозы в крови и тканях, в связи с этим сочетание повреждающего действия гипергликемии с курением ускоряет повреждение сосудов у курящих людей с СД. Общепризнанный факт — существенное повышение риска микро- и макрососудистых осложнений у пациентов с СД 2 на фоне курения [31, 32]. Неконтролируемый уровень глюкозы в крови натощак — распространённая проблема среди больных СД 2. К доказанным ФР тощаковой гипергликемии относятся пожилой возраст, мужской пол, более длительный анамнез СД, АГ, курение и ожирение [33]. С полученными в нашем исследовании результатами согласуются данные Y. Yang и соавт. (2022 г.): гипергликемия натощак и нецелевые уровни HbA1c ассоциированы с повышенным риском сердечно-сосудистых заболеваний, и эти связи наиболее выражены у курящих лиц [34].
Резюмируя описанное, следует акцентировать внимание на том, что эффективная оптимальная терапия ИБС в сочетании с СД требует комплексного подхода и мониторинга как со стороны врачей, так и активного участия самих пациентов в вопросе контроля ФР и вторичной профилактики [35].
Ограничения исследования: к ограничениям исследования следует отнести небольшую выборку пациентов и одноцентровой характер исследования.
Заключение
Подготовка пациентов с сочетанием ИБС и СД к плановому ЧКВ включает комплексный подход к управлению ФР. Детерминанты риска заболеваний обладают взаимоусугубляющими свойствами. Исследование показало, что у пациентов с ИБС и СД 2, проходивших плановое ЧКВ, метаболический контроль связан с антропометрией и липидным профилем (холестерин): меньшие значения ИМТ ассоциировались с большей вероятностью достижения целевого HbA1c; достигнутый целевой HbA1c ассоциировался с более низкими показателями холестерина. Гендерные различия проявились в более высокой распространённости активного курения и перенесённого ИМ в анамнезе среди лиц мужского пола, которые также относились к более молодому возрасту, в отличие от женщин, вошедших в исследование. Сократительная способность миокарда левого желудочка (ФВЛЖ) была хуже у пациентов с более тяжёлым поражением коронарных артерий (многососудистое поражение). Актуализированные данные для г. Кемерово демонстрируют, что больные СД 2, поступающие на плановое ЧКВ, не всегда имеют оптимальную медикаментозную терапию и должный контроль модифицируемых ФР, что требует освящения, особого внимания и своевременной коррекции.
Дополнительная информация
Вклад авторов. А.Г. Неешпапа — сбор и обработка материала, написание текста, статистическая обработка данных; В.Н. Каретникова — разработка концепции и планирование исследования, утверждение итогового варианта рукописи.
Этическая экспертиза. Исследование одобрено локальным этическим комитетом Научно-исследовательского института комплексных проблем сердечно-сосудистых заболеваний, протокол №10 от 23.12.2022.
Источник финансирования. Статья написана в рамках поискового научного исследования «Управление рисками, ассоциированными с коморбидностью, у пациентов с болезнями системы кровообращения на основе применения инновационных лечебно-диагностических и реабилитационных медицинских технологий», код (шифр) научной темы, присвоенной учредителем (Научно-исследовательский институт комплексных проблем сердечно-сосудистых заболеваний): FGMR-2023-0001.
Раскрытие интересов. Авторы заявляют об отсутствии отношений, деятельности и интересов (личных, профессиональных или финансовых), связанных с третьими лицами (коммерческими, некоммерческими, частными), интересы которых могут быть затронуты содержанием статьи, а также иных отношений, деятельности и интересов за последние три года, о которых необходимо сообщить.
Оригинальность. При создании настоящей работы авторы не использовали ранее опубликованные сведения (текст, иллюстрации, данные).
Доступ к данным. Все данные, полученные в настоящем исследовании, доступны в статье.
Генеративный искусственный интеллект. При создании настоящей статьи технологии генеративного искусственного интеллекта не использовали.
Рассмотрение и рецензирование. Настоящая работа подана в журнал в инициативном порядке и рассмотрена по обычной процедуре. В рецензировании участвовали два внешних рецензента, член редакционной коллегии и научный редактор издания.
Additional information
Author contributions: A.G. Neeshpapa: data curation, writing—original draft, formal analysis; V.N. Karetnikova: conceptualization, project administration, writing—review & editing.
Ethics approval: The study was approved by the local Ethics Committee of the Research Institute for Complex Issues of Cardiovascular Diseases (Protocol No. 10, dated December 23, 2022).
Funding sources: This article was prepared as part of an exploratory research project “Risk Management Associated With Comorbidities in Patients With Cardiovascular Diseases Based on the Use of Innovative Therapeutic, Diagnostic, and Rehabilitation Medical Technologies” (project code assigned by the founding institution [Research Institute for Complex Issues of Cardiovascular Diseases]: FGMR-2023-0001).
Disclosure of interests: The authors have no relationships, activities, or interests (personal, professional, or financial) related to for-profit, not-for-profit or financial third parties, whose interests may be affected by the content of the article, and no other relationships, activities, or interests to disclose for the last three years.
Statement of originality: No previously published material (text, images, or data) was used in this work.
Data availability statement: All data generated during this study are available in this article.
Generative AI: No generative artificial intelligence technologies were used to prepare this article.
Provenance and peer review: This paper was submitted unsolicited and reviewed following the standard procedure. The peer review process involved two external reviewers, a member of the editorial board, and the in-house scientific editor.
1 https://boris.bikbov.ru/2013/07/21/kalkulyator-skf-rascheta-skorosti-klubochkovoy-filtratsii/
About the authors
Anastasiya G. Neeshpapa
Research Institute for Complex Issues of Cardiovascular Diseases
Author for correspondence.
Email: anastasiyaneeshpapa@mail.ru
ORCID iD: 0000-0002-6808-9959
SPIN-code: 6156-1449
MD, Cand. Sci. (Medicine)
Russian Federation, 6 Academician L.S. Barbarasha blvd, Kemerovo, 650002Victoria N. Karetnikova
Research Institute for Complex Issues of Cardiovascular Diseases; Kemerovo State Medical University
Email: tori1071@mail.ru
ORCID iD: 0000-0002-9801-9839
SPIN-code: 7952-6247
MD, Dr. Sci. (Medicine), Professor
Russian Federation, Kemerovo; KemerovoReferences
- Yan W, Hua Y. Trends in deaths and disability-adjusted life-years of ischemic heart disease attributable to high body-mass index worldwide, 1990–2019. BMC Cardiovasc Disord. 2024;482:2024. doi: 10.1186/s12872-024-04136-y EDN: LTEZRC
- Guduguntla V, Redberg RF. Popular procedures without evidence of benefit: A case study of percutaneous coronary intervention for stable coronary artery disease. Eur J Intern Med. 2021;94:15–21. doi: 10.1016/j.ejim.2021.08.027 EDN: YYPSFL
- Adil M, Khan I, Hassan Z, et al. One Year Outcomes After Percutaneous Coronary Intervention in Diabetics With Stable Ischemic Heart Disease: A Single-Center Comparative Study. Cureus. 2021;13(1):e12731. doi: 10.7759/cureus.12731 EDN: MIPJHF
- Verreault-Julien L, Bhatt DL, Jung RG, et al. Predictors of angina resolution after percutaneous coronary intervention in stable coronary artery disease. Coron Artery Dis. 2022;33(2):98–104. doi: 10.1097/MCA.0000000000001081 EDN: AUXIQM
- Lai CC, Chang BC, Hwang LC. Presence of coronary artery disease in adults with newly detected diabetes mellitus. BMC Cardiovasc Disord. 2025;25(1):76. doi: 10.1186/s12872-024-04463-0 EDN: MIRQZM
- Grishaev SL, Cherkashin DV, Salukhov VV, Alanichev AE. Modern strategies for the treatment of type 2 diabetes in patients with stable coronary artery disease. Old goals, new opportunities (literature review). Russ J Cardiol. 2024;29(2):5689. doi: 10.15829/1560-4071-2024-5689 EDN: NGLELH
- Raghavan S, Vassy JL, Ho YL, et al. Diabetes Mellitus-Related All-Cause and Cardiovascular Mortality in a National Cohort of Adults. J Am Heart Assoc. 2019;8(4):e011295. doi: 10.1161/JAHA.118.011295
- Nekrasov AA, Timoshchenko ES, Nekrasova TA, Bakhrak EV. Prognosis of patients with coronary artery disease and diabetes — what to look for. Russian Journal of Cardiology. 2024;29(9):6030. doi: 10.15829/1560-4071-2024-6030 EDN: DPDOQP
- Fauchier L, Halle M, Herrington WG, et al. 2023 ESC Guidelines for the management of cardiovascular disease in patients with diabetes. Eur Heart J. 2023;44(39):4043–4140. doi: 10.1093/eurheartj/ehad192
- Popyhova EB, Stepanova TV, Lagutina DD, et al. The role of diabetes in the onset and development of endothelial dysfunction. Problems of Endocrinology. 2020;66(1):47–55. doi: 10.14341/probl12212 EDN: BDUNEQ
- Zhang Y, Song H, Bai J, et al. Association between the stress hyperglycemia ratio and severity of coronary artery disease under different glucose metabolic states. Cardiovasc Diabetol. 2023;8;22(1):29. doi: 10.1186/s12933-023-01759-x EDN: ETILXF
- World Health Organization. Fact sheets. Obesity and Overweight. Available at: https://www.who.int/news-room/fact-sheets/detail/obesity-and-overweight. Accessed: 16.02.2025.
- Adhikary D, Barman S, Ranjan R, Stone H. A Systematic Review of Major Cardiovascular Risk Factors: A Growing Global Health Concern. Cureus. 2022;14(10):e30119. doi: 10.7759/cureus.30119 EDN: BSRQNN
- Kochergina AM, Khorlampenko AA, Karetnikova VN, Barbarash OL. Preparation of patients with type 2 diabetes mellitus for elective percutaneous coronary intervention. Fundamental and Clinical Medicine. 2023;8(3):44–52. doi: 10.23946/2500-0764-2023-8-3-44-52 EDN: OYQFHG
- Samson SL, Vellanki P, Blonde L, et al. American Association of Clinical Endocrinology Consensus Statement: Comprehensive Type 2 Diabetes Management Algorithm — 2023 Update. Endocr Pract. 2023;29(5):305–340. doi: 10.1016/j.eprac.2023.02.001 EDN: KSPDHV
- Jellinger PS, Handelsman Y, Rosenblit PD, et al. American Association of Clinical Endocrinologists. American College of Endocrinology Comprehensive Diabetes Management Algorithm. Endocrine Practice. 2017;23(4): 573–596. doi: 10.4158/EP171219.APP EDN: PKJOQP
- Tan JK, Lim GH, Mohamed Salim NN, et al. Associations Between Mean HbA1c, HbA1c Variability, and Both Mortality and Macrovascular Complications in Patients with Diabetes Mellitus: A Registry-Based Cohort Study. Clinical Epidemiology. 2023;15:137–149. doi: 10.2147/CLEP.S391749 EDN: RXECBZ
- Karetnikova VN, Kchorlampenko AA, Osokina AV, et al. Role of glycemic control in elective percutaneous coronary interventions in patients with type 2 diabetes. Russ J Cardiol. 2022;27(12):5137. doi: 10.15829/1560-4071-2022-5137 EDN: OXSWNA
- Critchley JA, Carey IM, Harris T, et al. Variability in Glycated Hemoglobin and risk of poor outcomes among people with type 2 diabetes in a large primary care Cohort Study. Diabetes Care. 2019;42(12):2237–2246. doi: 10.2337/dc19-0848
- Lin W. The Association between Body Mass Index and Glycohemoglobin (HbA1c) in the US Population’s Diabetes Status. Int J Environ Res Public Health. 2024;21(5):517. doi: 10.3390/ijerph21050517 EDN: JHJVJC
- Kennedy-Martin T, Boye KS, Kennedy-Martin M. The Association Between Body Mass Index and Glycemic Control in Patients with Type 2 Diabetes Across Eight Countries: A Literature Review. Curr Res Diabetes Obes J. 2021;15(1):555904. doi: 10.19080/CRDOJ.2021.15.555904 EDN: DJGUOQ
- Thapa S, Vaidya N, Pandey R, Takanche JSh. Association of Non High Density Lipoprotein-Cholesterol and HbA1c in Type 2 Diabetes Mellitus. Journal of Nobel Medical College. 2023;12(2):30–35. doi: 10.3126/jonmc.v12i2.61111 EDN: FGFGMY
- Wahab Z. Correlation between Glycosylated Haemoglobin and Dyslipidaemia in Patients with Type 2 Diabetes Mellitus. IAR Journal of Medicine and Surgery Research. 2021;2(5):10–13. doi: 10.47310/iarjmsr.2021.V02i05.02 EDN: AKNGTD
- Samorodskaya IV, Bubnova MG, Akulova OA, et al. Male and female mortality rates due to acute types of coronary artery disease in five-year age groups in the Russian Federation: what do the numbers mean? Cardiovascular Therapy and Prevention. 2022;21(12):3460. doi: 10.15829/1728-8800-2022-3460 EDN: MNZDMQ
- Gao Z, Xu B, Kirtane AJ, et al. Impact of depressed left ventricular function on outcomes in patients with three-vessel coronary disease undergoing percutaneous coronary intervention. Chin Med J (Engl). 2013;126(4):609–614. doi: 10.3760/cma.j.issn.0366-6999.20121583
- Teplyakov AT, Grakova EV, Svarovskaya AV, et al. Efficacy of endovascular coronary revascularization in patient with chd with reduced left ventricular. Complex Issues of Cardiovascular Diseases. 2017;(1):79–91. doi: 10.17802/2306-1278-2017-1-79-91 EDN: YLEIJX
- Savage P, Watson C, Coburn J, et al. Impact of SGLT2 inhibition on markers of reverse cardiac remodelling in heart failure: Systematic review and meta-analysis. ESC Heart Fail. 2024;11(6):3636–3648. doi: 10.1002/ehf2.14993 EDN: OWSFJE
- Suman S, Pravalika J, Manjula P, Farooq U. Gender and CVD- Does It Really Matters? Curr Probl Cardiol. 2023;48(5):101604. doi: 10.1016/j.cpcardiol.2023.101604 EDN: MKXPON
- Shalnova SA, Drapkina OM, Kutsenko VA, et al. Chernykh on behalf of the ESSE-RF study participants. T.M. Myocardial infarction in the population of some Russian regions and its prognostic value. Russian Journal of Cardiology. 2022;27(6):4952. doi: 10.15829/1560-4071-2022-4952
- Niemann B, Rohrbach S, Miller MR, et al. Oxidative Stress and Cardiovascular Risk: Obesity, Diabetes, Smoking, and Pollution: Part 3 of a 3-Part Series. J Am Coll Cardiol. 2017;70(2):230–251. doi: 10.1016/j.jacc.2017.05.043
- Campagna D, Alamo A, Di Pino A, et al. Smoking and diabetes: dangerous liaisons and confusing relationships. Diabetol Metab Syndr. 2023;15(1):117. doi: 10.1186/s13098-023-01099-6 EDN: JGILXA
- Niket V. A Study of HbA1c, fasting and 2 hour plasma glucose levels in current smokers presenting at a tertiary care hospital in North India. Int J Adv Med. 2018;5:38–46. doi: 10.18203/2349-3933.ijam20180002
- Riaz F, Al Shaikh A, Anjum Q, et al. Factors related to the uncontrolled fasting blood sugar among type 2 diabetic patients attending primary health care center, Abha city, Saudi Arabia. Int J Clin Pract. 2021;75(7):e14168. doi: 10.1111/ijcp.14168 EDN: FXSXXV
- Yang Y, Peng N, Chen G, et al. Interaction between smoking and diabetes in relation to subsequent risk of cardiovascular events. Cardiovasc Diabetol. 2022;21(1):14. doi: 10.1186/s12933-022-01447-2 EDN: LZLHGG
- Mironchuk NN, Kochegura TN. Analysis of the main indicators of secondary prevention in patients with coronary heart disease. University Therapeutic Journal. 2024;6(2):97–106. doi: 10.56871/UTJ.2024.42.39.011 EDN: TSYFAY
Supplementary files








